Teorema del seno
Cada lado de un triángulo es directamente proporcional al seno del ángulo opuesto.

Aplicaciones
Este teorema es útil para resolver problemas si los datos dados entran en alguno de los siguientes casos:
1 Si tenemos las medidas de 2 lados de un triángulo, y el ángulo opuesto a uno de ellos.

Aplicando el teorema inmediatamente puedo obtener el ángulo opuesto al otro lado que conocemos
2 Si tenemos las medidas de 2 ángulos de un triángulo, y el lado opuesto a uno de ellos.

Aplicando el teorema inmediatamente puedo obtener el lado opuesto al otro ángulo que conocemos.
3 También se puede aplicar cuando se conocen 2 ángulos del triángulo y un lado que no es opuesto a ninguno de ellos, sólo que requiere un paso extra, que es obtener el otro ángulo del triángulo.

Esto es posible porque sabemos que la suma de los ángulos de un triángulo es 180°.
Por ejemplo, en la imagen de arriba, el ángulo B se obtiene de restar los otros 2 ángulos a 180:

Ignorando uno de los ángulos dados originalmente, ya tenemos los datos de 2 ángulos y el lado opuesto de uno de ellos, como el segundo caso mencionado en las aplicaciones.

Teorema del coseno
En un triángulo el cuadrado de cada lado es igual a la suma de los cuadrados de los otros dos menos el doble producto del producto de ambos por el coseno del ángulo que forman.

Aplicaciones
Este teorema es útil para resolver problemas,
1 Si tenemos la medida de un ángulo y de los lados adyacentes a este.

Aplicando el teorema podemos obtener el tercer lado, es decir el lado opuesto al ángulo que tenemos, pues

2 Si tenemos la medida de los 3 lados de un triángulo

Aplicando el teorema podemos obtener cualquier ángulo, pues

Teorema de la tangente
El teorema de la tangente relaciona un par de lados de un triángulo y sus respectivos ángulos opuestos

Aplicaciones:
Este teorema es igual de útil que el teorema del seno y del coseno, pero es menos popular.
Se puede usar en cualquiera de los casos en los que:
1 Se conocen dos lados y un ángulo opuesto.
2 Se conocen dos ángulos y un lado opuesto.
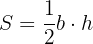
Área de un triángulo
1 El área
de un triángulo es la mitad del producto de una base por la altura correspondiente.


De sustituir
en la fórmula del área anterior, obtenemos el siguiente resultado.
2 El área de un triángulo es el semiproducto de dos de sus lados por el seno del ángulo que forman.

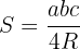
3 El área de un triángulo es el cociente entre el producto de sus lados y cuatro veces el radio de su circunferencia circunscrita.

4 El área de un triángulo es igual al producto del radio
de la circunferencia inscrita por su semiperímetro
.

5 Fórmula de Herón: Sea
el semiperímetro del triángulo, entonces,

Resumir con IA:









Apuntes es una plataforma dirigida al estudio y la práctica de las matemáticas a través de la teoría y ejercicios interactivos que ponemos a vuestra disposición. Esta información está disponible para todo aquel/aquella que quiera profundizar en el aprendizaje de esta ciencia. Será un placer ayudaros en caso de que tengáis dudas frente algún problema, sin embargo, no realizamos un ejercicio que nos presentéis de 0 sin que hayáis si quiera intentado resolverlo. Ánimo, todo esfuerzo tiene su recompensa.
Cálculo el lado bc aplicando la ley de cosenos b=5cm c=6cm a=60°
Materia:
erica V= 1
Calcula el lado BC aplicando
5
V
0
V
4
V
A
B
AB = 6cm
CR
Datos
0 =5cm
C=600
En un triángulo, se tienen los datos: A = 50° ,B = 65° y a = 12. Encuentra el lado b.
excelente, por ejemplo tengo uno donde me hacen falta el ángulo A, B, C tengo estos datos lado a:14, b:6, c:4
La respuesta es 14.197
¿ porqué no hay un modo de resolver triángulos sin la necesidad de aplicar la Trigonometria académica ? Saludos, profesor.
Hola, posiblemente exista otro método, pero por desgracia es todavía mas difícil que la trigonometría académica incluso te puedo asegurar que hoy en día es mas fácil y mas directo resolver los problemas de triángulos, entendemos que a veces llega a ser confuso pero te aseguramos que este método es el mas sencillo que existe.
Resuelve esto bien y claro.
¿Cuánto le falta al complemento del suplemento de 165,315° para alcanzar el suplemento del complemento de π/12 rad?
como resolver este ejercicio (tag x )2 -1
_________= -(tag x )2
(cotag x )2 -1