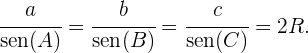
El teorema o ley del seno es una expresión que relaciona los lados y ángulos de un triángulo, no necesariamente rectángulo. Esta ley es útil para cuando necesitamos calcular el valor de un lado o ángulo solo conociendo el valor de uno de sus otros lados y su ángulo opuesto. De la siguiente figura podemos deducir que

En un triángulo cada lado es directamente proporcional al seno del ángulo opuesto, es decir,
Ejercicios
1 De un triángulo sabemos que:
y
. Calcula los restantes elementos.

Debemos calcular el ángulo
, el cual se obtiene restando a
los valores de los dos ángulos conocidos.
Para hallar el valor de los lados restantes utilizaremos el Teorema del seno, pues ya sabemos el valor del ángulo
.
2 Calcular el radio del círculo circunscrito en un triángulo, donde
y
.

Recordemos que el Teorema del seno nos dice que cada lado del triángulo es directamente proporcional al seno del ángulo opuesto. Dado que el triángulo esta circunscrito sabemos cual es el valor de dicha proporción, es decir,
Finalmente reemplazando los valores y despejando el radio de la anterior ecuación tenemos que.
Resumir con IA:

Apuntes es una plataforma dirigida al estudio y la práctica de las matemáticas a través de la teoría y ejercicios interactivos que ponemos a vuestra disposición. Esta información está disponible para todo aquel/aquella que quiera profundizar en el aprendizaje de esta ciencia. Será un placer ayudaros en caso de que tengáis dudas frente algún problema, sin embargo, no realizamos un ejercicio que nos presentéis de 0 sin que hayáis si quiera intentado resolverlo. Ánimo, todo esfuerzo tiene su recompensa.
Cálculo el lado bc aplicando la ley de cosenos b=5cm c=6cm a=60°
Materia:
erica V= 1
Calcula el lado BC aplicando
5
V
0
V
4
V
A
B
AB = 6cm
CR
Datos
0 =5cm
C=600
En un triángulo, se tienen los datos: A = 50° ,B = 65° y a = 12. Encuentra el lado b.
excelente, por ejemplo tengo uno donde me hacen falta el ángulo A, B, C tengo estos datos lado a:14, b:6, c:4
La respuesta es 14.197
¿ porqué no hay un modo de resolver triángulos sin la necesidad de aplicar la Trigonometria académica ? Saludos, profesor.
Hola, posiblemente exista otro método, pero por desgracia es todavía mas difícil que la trigonometría académica incluso te puedo asegurar que hoy en día es mas fácil y mas directo resolver los problemas de triángulos, entendemos que a veces llega a ser confuso pero te aseguramos que este método es el mas sencillo que existe.
Resuelve esto bien y claro.
¿Cuánto le falta al complemento del suplemento de 165,315° para alcanzar el suplemento del complemento de π/12 rad?
como resolver este ejercicio (tag x )2 -1
_________= -(tag x )2
(cotag x )2 -1