Ejercicios propuestos
1
Expresa el
, en función de
.
Solución
- Primero, recordemos que
, de tal manera que podemos reescribir, la expresión inicial de la siguiente forma:

- Luego, recordemos que entre las razones trigonométricas de ángulo doble hay una que satisface que
y otra que satisface que
, de tal manera que podemos reescribir la relación de la siguiente manera:

- Desarrollamos los productos:

.
- Utilizando que
, finalmente obtenemos la expresión:

2
Calcula el
,
y
; en función de

Solución
1 Para calcular el
en función de
usemos que
, de la siguiente manera: 
- Luego, utilicemos que
, dividamos todo entre 1 y desarrollemos:

2 Para calcular el
en función de
usemos que
, de la siguiente manera: 
- Luego, utilicemos que
, dividamos todo entre 1 y desarrollemos:

3 Para calcular el
en función de
usemos que
, de la siguiente forma:

3
Resuelve las siguientes ecuaciones trigonométricas:
Solución
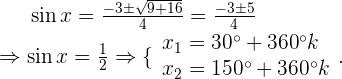
1 Resuelve la ecuación
.
- Para resolver, primero utilicemos que
:

- Luego, recordemos que
:

- Escribiendo todo a la izquierda obtenemos:
.
- Calculamos el
:

- Notemos que
no tiene solución porque 
2 Resuelve la ecuación
.
- Primero, recordemos que
y sustituyamos:

- Reescribimos la expresión:

- Finalmente, resolvemos:

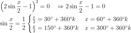
3 Resuelve la ecuación 
- Para resolver, iniciemos usando que
:

- Finalmente, resolvemos:

4
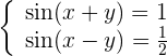
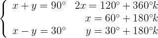
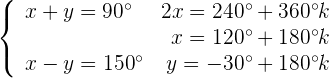
Resuelve el sistema de ecuaciones trigonométricas:

Solución
- Para resolver, utilicemos las siguientes dos igualdades:
- De tal manera que podemos reescribir el sistema de la siguiente forma:

- Notemos que
, que
y
, para finalmente resolver el sistema:
5
Las diagonales de un paralelogramo miden
y
, y el ángulo que forman es de
. Calcular uno de los lados del paralelogramo.
Solución
- Primero, planteemos la interpretación gráfica que describe la situación:

- Después, notemos que como la suma de los ángulos interiores de un triángulo es de
se debe satisfacer lo siguiente:

- Finalmente, como conocemos dos lados del triángulo y el ángulo formado por estos dos lados, podemos calcular la longitud del segmento
, utilizando el teorema del coseno:

Resumir con IA:

Apuntes es una plataforma dirigida al estudio y la práctica de las matemáticas a través de la teoría y ejercicios interactivos que ponemos a vuestra disposición. Esta información está disponible para todo aquel/aquella que quiera profundizar en el aprendizaje de esta ciencia. Será un placer ayudaros en caso de que tengáis dudas frente algún problema, sin embargo, no realizamos un ejercicio que nos presentéis de 0 sin que hayáis si quiera intentado resolverlo. Ánimo, todo esfuerzo tiene su recompensa.
Cálculo el lado bc aplicando la ley de cosenos b=5cm c=6cm a=60°
Materia:
erica V= 1
Calcula el lado BC aplicando
5
V
0
V
4
V
A
B
AB = 6cm
CR
Datos
0 =5cm
C=600
En un triángulo, se tienen los datos: A = 50° ,B = 65° y a = 12. Encuentra el lado b.
excelente, por ejemplo tengo uno donde me hacen falta el ángulo A, B, C tengo estos datos lado a:14, b:6, c:4
La respuesta es 14.197
¿ porqué no hay un modo de resolver triángulos sin la necesidad de aplicar la Trigonometria académica ? Saludos, profesor.
Hola, posiblemente exista otro método, pero por desgracia es todavía mas difícil que la trigonometría académica incluso te puedo asegurar que hoy en día es mas fácil y mas directo resolver los problemas de triángulos, entendemos que a veces llega a ser confuso pero te aseguramos que este método es el mas sencillo que existe.
Resuelve esto bien y claro.
¿Cuánto le falta al complemento del suplemento de 165,315° para alcanzar el suplemento del complemento de π/12 rad?
como resolver este ejercicio (tag x )2 -1
_________= -(tag x )2
(cotag x )2 -1