Capítulos
En este artículo obtendremos los valores exactos de las funciones trigonométricas seno, coseno y tangente para los ángulos de 30°, 45° y 60°. Estos ángulos forman parte, junto con los ángulos de 0° y 90°, de los bien conocidos ángulos notables.
Seno, coseno y tangente de 30º y 60º
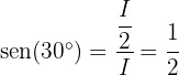
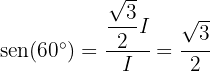
Para obtener el valor de las razones trigonométricas seno, coseno y tangente de 30° y 60°, dibujamos un triángulo equilátero de vértices ABC como lo muestra la imagen. Dado que es un triángulo equilátero, cada uno de sus tres ángulos mide 60°. Ahora, trazamos la altura h al bisectar el vértice A. El resultado nos arroja dos ángulos de 30° cada uno.

Luego, usando el Teorema de Pitágoras en el triángulo rectángulo de vértices AMC, obtenemos que la altura es:

Ahora, usando la definición de las razones trigonométricas en un triángulo rectángulo, sabemos que
para un ángulo interno
del triángulo, distinto del ángulo recto. Por lo tanto, tenemos que
Seno, coseno y tangente de 45º
Para obtener el valor de las funciones trigonométricas seno, coseno y tangente en el ángulo de 45°, construimos un cuadrado. Cada ángulo interno del cuadrado mide 90°. Trazamos su diagonal la cual bisecta dos de sus ángulos internos y obtenemos ángulos de 45°.

Nuevamente, utilizando el Teorema de Pitágoras, dicha diagonal tiene una longitud de 
De nuevo, usando la definición de las razones trigonométricas en un triángulo rectángulo, se obtiene que
Razones trigonométricas de ángulos notables
Finalmente, podemos resumir toda la información que hemos presentado en este artículo en la siguiente tabla, conocida como la tabla de razones trigonométricas de ángulos notables:

Aquí, para completar la tabla, hemos usado los conocidos valores de las funciones trigonométricas en los ángulos de 0°, y 90°

Resumir con IA:


















Apuntes es una plataforma dirigida al estudio y la práctica de las matemáticas a través de la teoría y ejercicios interactivos que ponemos a vuestra disposición. Esta información está disponible para todo aquel/aquella que quiera profundizar en el aprendizaje de esta ciencia. Será un placer ayudaros en caso de que tengáis dudas frente algún problema, sin embargo, no realizamos un ejercicio que nos presentéis de 0 sin que hayáis si quiera intentado resolverlo. Ánimo, todo esfuerzo tiene su recompensa.
Cálculo el lado bc aplicando la ley de cosenos b=5cm c=6cm a=60°
Materia:
erica V= 1
Calcula el lado BC aplicando
5
V
0
V
4
V
A
B
AB = 6cm
CR
Datos
0 =5cm
C=600
En un triángulo, se tienen los datos: A = 50° ,B = 65° y a = 12. Encuentra el lado b.
excelente, por ejemplo tengo uno donde me hacen falta el ángulo A, B, C tengo estos datos lado a:14, b:6, c:4
La respuesta es 14.197
¿ porqué no hay un modo de resolver triángulos sin la necesidad de aplicar la Trigonometria académica ? Saludos, profesor.
Hola, posiblemente exista otro método, pero por desgracia es todavía mas difícil que la trigonometría académica incluso te puedo asegurar que hoy en día es mas fácil y mas directo resolver los problemas de triángulos, entendemos que a veces llega a ser confuso pero te aseguramos que este método es el mas sencillo que existe.
Resuelve esto bien y claro.
¿Cuánto le falta al complemento del suplemento de 165,315° para alcanzar el suplemento del complemento de π/12 rad?
como resolver este ejercicio (tag x )2 -1
_________= -(tag x )2
(cotag x )2 -1