A continuación encontrarás una serie de problemas y ejercicios que se resuelven empleando trigonometría. En las soluciones te describimos a detalle cada uno de los pasos realizados
Conversión de grados.
Convierte los siguientes ángulos de radianes a sexagesimal
a 
b 
c 
Recordemos que la fórmula para calcular un ángulo en radianes a grados es

donde
es el ángulo en radianes. Por lo tanto, los ángulos en grados son:
a 
Aquí tenemos que
. Por lo tanto, los grados son

Para obtener los minutos, multiplicamos la parte decimal por 60:

Para obtener los segundos, multiplicamos de nuevo la parte decimal por 60:

Por lo tanto, el ángulo en sexagesimal es 
b 
Al igual que en el ejercicio anterior, utilizamos la fórmula

c 
Aquí también utilizamos la misma fórmula:

Expresa en radianes los siguientes ángulos:
a 
b 
c 
La fórmula para convertir de grados a radianes es muy simpliar a la anterior

Así, los ángulos son:
a 
Utilizamos la fórmula

Por lo tanto, el ángulo mide
radianes.
b 
Utilizamos la fórmula

Por lo tanto, el ángulo mide
radianes.
c 
Utilizamos la fórmula

Que no se puede simplificar ya que 127 es primo. Por lo tanto, el ángulo mide
.
Convierte los siguientes ángulos de radianes a sexagesimal
a 
b 
c 
Recordemos que la fórmula para calcular un ángulo en radianes a grados es

donde
es el ángulo en radianes. Por lo tanto, los ángulos en grados son:
a 
Aquí tenemos que
. Por lo tanto, los grados son

b 
Al igual que en el ejercicio anterior, utilizamos la fórmula

c 
Aquí también utilizamos la misma fórmula:

Expresa en radianes los siguientes ángulos:
a 
b 
c 
La fórmula para convertir de grados a radianes es muy similar a la anterior

Así, los ángulos son:
a 
Utilizamos la fórmula

Por lo tanto, el ángulo mide
radianes.
b 
Utilizamos la fórmula

Por lo tanto, el ángulo mide
radianes.
c 
Utilizamos la fórmula

Por lo tanto, el ángulo mide
.
Convierte los siguientes ángulos de radianes a sexagesimal
a 
b 
c 
Recordemos que la fórmula para calcular un ángulo en radianes a grados es

donde
es el ángulo en radianes. Por lo tanto, los ángulos en grados son:
a 
Aquí tenemos que
. Por lo tanto, los grados son

b 
Al igual que en el ejercicio anterior, utilizamos la fórmula

c 
Aquí también utilizamos la misma fórmula:

Expresa en radianes los siguientes ángulos:
a 
b 
c 
La fórmula para convertir de grados a radianes es muy similar a la anterior

Así, los ángulos son:
a 
Utilizamos la fórmula

Por lo tanto, el ángulo mide
radianes.
b 
Utilizamos la fórmula

Por lo tanto, el ángulo mide
radianes.
c 
Utilizamos la fórmula

Por lo tanto, el ángulo mide
.
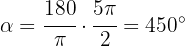
Calculo de una razón trigonométrica a partir de una razón dada.
Sabiendo que
y que
, calcula 
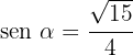
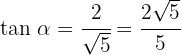
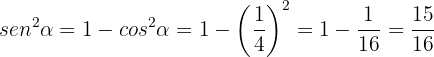
Sabemos que coseno es el cociente del cateto adyacente y la hipotenusa, por lo que estos son 1 y 4 respectivamente.
Aplicando el teorema de Pitágoras encontramos el valor del cateto opuesto a 

De esta forma, 
Sabiendo que
y que
, calcula 
Sabemos que seno es el cociente del cateto opuesto y la hipotenusa, por lo que estos son 2 y 3 respectivamente.
Aplicando el teorema de Pitágoras encontramos el valor del cateto adyacente a 

De esta forma, 
Sabiendo que
y que
, calcula 
Sabemos que tangente es el cociente del cateto opuesto y el adyacente, por lo que estos son 3 y 1 respectivamente.
Aplicando el teorema de Pitágoras encontramos el valor de la hipotenusa

De esta forma, 
Sabiendo que
y que
, calcula las razones trigonométricas restantes para el ángulo 
En primer lugar, sabemos que el ángulo se encuentra en el cuarto cuadrante del plano cartesiano. En este cuadrante tenemos que
pero
. Por tanto,

De aquí se sigue que

Como ya tenemos
y
, entonces las otras identidades son más sencillas.

Observemos que tanto en la cotangente como en la cosecante se puede racionalizar el resultado. Por lo que también es correcto si tuviéramos

Lo cual se obtiene si multiplicamos los resultados anteriores por
, con lo que evitaríamos tener radicales en el denominador.
Sabiendo que
y que
, calcula las restantes razones trigonométricas para el ángulo 
El ángulo
se encuentra en el 3er cuadrante del plano cartesiano. De aquí sabemos que
y
.
Por otro lado, la tangente se relaciona con la secante con su identidad pitagórica:

De donde tenemos que

Como
, entonces
. Por lo tanto,

De aquí se sigue que

Notemos que
también es una respuesta correcta (al racionalizar el resultado anterior).
Sabemos, también, que
. De aquí se sigue que

Las dos identidades que faltan se calculan de forma muy sencilla:

y

Sabieno que
y que
, calcula las razones trigonométricas restantes para el ángulo 
Notemos, en primer lugar, que el ángulo está en radianes. Además, nos encontramos en el primer cuadrante del plano cartesiano, por lo que
y
.
Por otro lado, la secante se relaciona con
por medio de su identidad pitagórica:

Además,
ya que
y
, por lo que

Asimismo,

Y como tenemos que
, entonces se sigue que

Con esto las últimas dos identidades trigonométricas son muy sencillas de calcular:

y

Calculo de razones trigonométricas a partir del ángulo.
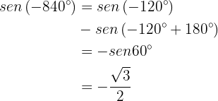
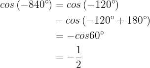
Calcula el seno, coseno y tangente para los siguientes ángulos:
a 
b 
Aquí asumiremos ya tenemos memorizadas el seno y el coseno para algunos ángulos muy comunes (
, etcétera):
a 
Para calcular el seno del ángulo, utilizaremos algunas identidades de traslación. Observemos que

Similarmente,

Por último

b 
Al igual que en el caso anterior, utilizaremos algunas identidades de traslación. Observemos que

Similarmente,


Calcula el seno, coseno y tangente para los siguientes ángulos:
a 
b 
Aquí asumiremos ya tenemos memorizadas el seno y el coseno para algunos ángulos muy comunes (
, etcétera):
a 
Para calcular el seno del ángulo, utilizaremos algunas identidades de traslación. Observemos que

Similarmente,

Por último

b 
Al igual que en el caso anterior, utilizaremos algunas identidades de traslación. Observemos que

Similarmente,


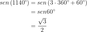
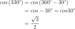
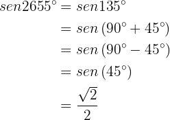
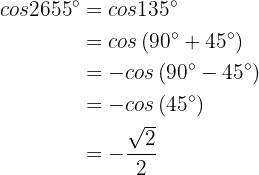
Calcula las razones trigonométricas para los siguientes ángulos:
a 
b 
a 
Primero debemos encontrar un ángulo que esté entre
y
y que igual a
. Para esto, dividimos 2655 entre 360 y el residuo será el ángulo que buscamos:

donde el residuo es 135. Por lo tanto

Similarmente,

Por último,

b
Este es muy similar al caso anterior. Dividimos primero 840 entre 360 y nos quedamos con el residuo:

Por lo que
. De este modo:


Por último,

Resolución de triángulos.
Dado el triángulo rectángulo ABC, rectángulo en el ángulo
, se conoce que
y
. Encuentra los otros ángulos y lados
Observemos el siguiente triángulo:

Ahí podemos ver los datos que nos faltan (los lados
,
y el ángulo
). El más sencillo es el ángulo
, puesto que
. Por lo que

Como el triángulo es rectángulo, entonces podemos utilizar funciones trigonométricas para calcular la longitud de los lados restantes. Sabemos que

por lo que

Similarmente, como
, entonces

Con lo que ya encontramos todos los datos faltantes.
Del triángulo ABC, rectángulo en el ángulo
, conocemos que
y
. Encuentra los otros ángulos y lados
Observemos el triángulo de este ejercicio:

Ahí podemos ver los datos que nos faltan (los lados
,
y el ángulo
). Al igual que en el caso anterior, el más sencillo es el ángulo
, ya que
. Por lo que

Ahora no tenemos la hipotenusa. Por tanto debemos utilizar la tangente para empezar:

por lo que

Similarmente, como
, entonces

Con lo que ya encontramos todos los datos faltantes.
Del triángulo ABC, rectángulo en el ángulo
, conocemos que
y
. Encuentra los ángulos agudos y el lado restante
Observemos el triángulo:

Los datos que nos faltan son el cateto
y los ángulos
y
. Por el teorema de pitágoras, sabemos que
, de modo que

Así,
. Además,

Por lo que
. Por último, debido a que los ángulos suman
:

Con lo que terminamos de resolver el triángulo.
Dado un triángulo
, se conoce que
,
y
. Encuentra los ángulos y el lado restantes
Observemos que este triángulo no es rectángulo. De hecho, el triángulo se muestra en la siguiente figura:

Donde vemos que nos faltan los ángulos
,
y el lado
. Como el triángulo no es rectángulo, entonces no podemos utilizar el teorema de pitágoras, pero sí podemos utilizar el teorema de los cosenos:

donde ya tenemos todos los datos. Tenemos

Por lo tanto
. Con esto, ya podemos calcular cualquiera de los ángulos restantes utilizando la ley de los senos:

de donde se sigue que

de donde se sigue que
.
Por último,

con lo que resolvemos todo el triángulo por completo.
Problemas de la vida cotidiana.
Un árbol de 50 metros de altura proyecta una sombra de 60 metros de longitud. Encuentra el ángulo de elevación del Sol en ese momento
Observemos que el árbol (lado
) y la sombra (lado
) forman el siguiente triángulo:

Notemos que no es necesario calcular el lado
. Buscamos el ángulo
, cuya tangente está dada por

Utilizando el arcotangente, obtenemos

Que es el ángulo que buscábamos.
Un dirigible está volando a 800 metros de altura. Observa un pueblo con un ángulo de depresión de 12°. ¿Qué distancia debe recorrer el dirigible en linea recta, manteniendo la altura, para estar exactamente sobre el pueblo?
Observemos que entre el pueblo y el dirigible se forma el siguiente triángulo:

donde la distancia incógnita la denotamos por
. La altura del dirigible la denotamos por
y el ángulo de depresión coincide con el ángulo
.
Sabemos que la tangente de
se calcula utilizando

por lo que

Por tanto, el dirigible debe recorrer 3763.70 metros, o 3.764 km.
Hallar el radio de una circunferencia donde una cuerda de 24.6 metros tiene un arco de 70° correspondiente.
Observemos la siguiente figura:

Notemos que se forma un triángulo rectángulo con los puntos
donde
es el punto medio del arco.
El radio
es la hipotenusa de este triángulo, la longitud de
es la mitad de la cuerda, es decir,

y el ángulo
mide
(la mitad del arco). Sabemos que

ya que
es la hipotenusa. Por tanto,

por lo tanto, el radio mide 21.44 metros.
Calcular el área de una parcela triángulo, sabiendo que dos de sus lados miden
y
, y el ángulo entre ellos es de 70°
Existen varias formas de resolver este problema. Podemos utilizar la fórmula de Herón o podemos intentar calcular alguna de sus alturas. Primero observemos el triángulo:

Donde
,
y
.
Si trazamos la altura que es perpendicular a
, notemos que se forma un triángulo rectángulo donde
es un cateto y
es la hipotenusa. Además, notemos que el seno de
es

de modo que

Por lo tanto, el área es

Calcula la altura de un árbol, sabiendo que desde un punto del terreno se observa su copa en un ángulo de 30° sobre el nivel de la tierra, y si nos acercamos
entonces la copa se observa en un ángulo de 60° sobre la tierra.
Observemos la siguiente figura, la cual es una representación del problema:

Notemos que hay varias formas de resolver este problema. Una es encontrar la distancia
resolviendo el triángulo
; después utilizamos esa distancia para encontrar la altura.
Para resolver el triángulo, notemos que el ángulo
del triángulo
es

por tanto, ya podemos utilizar el teorema de los senos para resolver triángulo. Sin embargo, necesitamos primero al ángulo
, que es,

Por el teorema de los senos se tiene que

donde

Por lo tanto,

Con esto ya podemos calcular la altura del árbol. Notemos que el triángulo
es rectángulo. Por tanto,

Por tanto,

Por tanto, el árbol mide 8.66 metros de altura.
Un octágono regular tiene lados que miden 12 metros. Encuentra los radios de la circunferencia inscrita y circunscrita.
Observa la siguiente figura de un octágono con sus circunferencias inscritas y circunscritas:

Notemos que se forma un triángulo rectángulo entre los puntos
donde
es el punto medio de cualquier lado del octágono. Observemos con más detalle este triángulo rectángulo:

Sabemos que el ángulo
. Por lo que el ángulo
del triángulo rectángulo será
. Además, el lado
.
Los dos lados del triángulo que nos faltan son, de hecho, los radios de las circunferencias. Empezando por el lado
, tenemos que

Por lo que

Por lo tanto, el radio
de la circunferencia inscrita es 14.49 metros.
Luego, el lado
satisface

de modo que
. Es decir, el radio
de la circunferencia circunscrita es 15.68 metros.
Tres ciudades
se encuentran distribuidas de forma triangular y sus caminos son en línea recta. Si la distancia de
a
es de 12 km, la distancia de
a
es de 10 km y el ángulo
es
. Encuentra la distancia entre las ciudades
.
La figura que representa el problema forma un triángulo

Notemos que para calcular el lado
basta aplicar la ley de los cosenos

Realizando las operaciones, obtenemos

Que es la distancia entre las ciudades
que buscábamos.
Pedro vuela una cometa para lo cual emplea 40 m de cuerda. Si el ángulo de elevación es de
, ¿cuál es la altura de la cometa respecto al piso?
Observemos que la cuerda de cometa (lado
) y la proyección de la cometa al piso (lado
) forman el siguiente triángulo rectángulo:

Notemos que la expresión del seno del ángulo
es:

Despejando la altura
, obtenemos

Que es la altura que buscábamos.
Un edificio proyecta una sombra de 60 metros de longitud, siendo
el ángulo de elevación del sol en ese momento. Encuentra la altura del edificio.
Observemos que el edificio (lado
) y la sombra (lado
) forman el siguiente triángulo rectángulo:

Notemos que la expresión de la tangente del ángulo de
, está dada por

Despejando la altura
, obtenemos

Que es la altura que buscábamos.
Demostración de identidades trigonométricas.
Demuestra las siguientes identidades trigonométricas:
a 
b 
c 
a 
Empezamos escribiendo a
y
con su definición en senos y cosenos:

Después realizamos la suma de las fracciones (con el común denominador):

Notamos que
, por lo que

las cuales son las definiciones de
y
. Por tanto,

b 
Aquí conviene empezar del lado derecho de la ecuación:

Factorizamos el 

Recordemos que la identidad pitagórica de la
es
, de modo que tenemos

que era justo lo que queriamos demostrar.
c 
Aquí tambien conviene empezar del lado derecho de la identidad, factorizando
:

Notamos que
, por lo que

que era lo que buscábamos demostrar.
Demuestra las siguientes identidades trigonométricas:
a 
b 
a 
La forma más sencilla de demostrar esta identidad es empezar del lado izquiero y escribir las relaciones en términos de senos y cosenos:

Ya que
se cancela. Esta identidad era posible demostrarla en una sola línea.
b 
Empezamos del lado izquierdo y escribimos las relaciones en términos de senos y cosenos:

Luego sumamos las fracciones utilizando el común denominador:

ya que
. Por lo tanto, llegamos a lo que queríamos demostrar.
Resumir con IA:

Apuntes es una plataforma dirigida al estudio y la práctica de las matemáticas a través de la teoría y ejercicios interactivos que ponemos a vuestra disposición. Esta información está disponible para todo aquel/aquella que quiera profundizar en el aprendizaje de esta ciencia. Será un placer ayudaros en caso de que tengáis dudas frente algún problema, sin embargo, no realizamos un ejercicio que nos presentéis de 0 sin que hayáis si quiera intentado resolverlo. Ánimo, todo esfuerzo tiene su recompensa.
Cálculo el lado bc aplicando la ley de cosenos b=5cm c=6cm a=60°
Materia:
erica V= 1
Calcula el lado BC aplicando
5
V
0
V
4
V
A
B
AB = 6cm
CR
Datos
0 =5cm
C=600
En un triángulo, se tienen los datos: A = 50° ,B = 65° y a = 12. Encuentra el lado b.
excelente, por ejemplo tengo uno donde me hacen falta el ángulo A, B, C tengo estos datos lado a:14, b:6, c:4
La respuesta es 14.197
¿ porqué no hay un modo de resolver triángulos sin la necesidad de aplicar la Trigonometria académica ? Saludos, profesor.
Hola, posiblemente exista otro método, pero por desgracia es todavía mas difícil que la trigonometría académica incluso te puedo asegurar que hoy en día es mas fácil y mas directo resolver los problemas de triángulos, entendemos que a veces llega a ser confuso pero te aseguramos que este método es el mas sencillo que existe.
Resuelve esto bien y claro.
¿Cuánto le falta al complemento del suplemento de 165,315° para alcanzar el suplemento del complemento de π/12 rad?
como resolver este ejercicio (tag x )2 -1
_________= -(tag x )2
(cotag x )2 -1