Son aquellas ecuaciones en las que las incógnitas aparecen formando parte de los argumentos de una o varias razones trigonométricas. Como éstas son periódicas, habrá por lo general infinitas soluciones si no se restringe la solución a un intervalo determinado. La solución general a una ecuación trigonométrica incluye el número entero
, es decir,
.
Para resolver una ecuación trigonométrica haremos las transformaciones necesarias para trabajar con una sola función trigonométrica, para ello utilizaremos las identidades trigonométricas fundamentales.
Ecuaciones trigonométricas básicas
Encontrar la solución general a cada una de las siguientes ecuaciones trigonométricas:
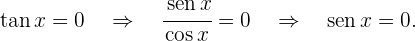
1
Solución: De la gráfica de la función seno en el intervalo
(figura 1), observamos que, la función es cero en los valores
Ya que la función
tiene periodo
, entonces tenemos que tenemos que
Así, la solución general a la ecuación, escribiendo lo anterior en una manera más sencilla, es 

2
Solución: De la gráfica de la función coseno en el intervalo
(figura 2) , observamos que, la función es cero en los valores
Ya que la función
tiene periodo
, entonces tenemos que
Así, la solución general a la ecuación, escribiendo lo anterior en una manera más sencilla, es 

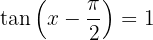
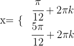
3
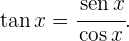
Solución: Recordemos que la función tangente puede escribirse como
Por lo tanto
Esto ya lo hemos calculado antes y tiene como solución
Esto es, la solución a la ecuación
es 
4
Solución: Es bien sabido que, para todo
, entonces
Al igual se tiene que, para todo
, implica que
Es decir, la función
es la función inversa de la función
en el intervalo
Usando esto tenemos que
Por periodicidad, tenemos que la solución a la ecuación es

5
Solución:
Como en la ecuación anterior, la función
es la función inversa de la función
en el intervalo
Así, usando este hecho tenemos que

Entonces, la solución a la ecuación es
por periodicidad.
6
Solución: Similarmente a las funciones
y
, la función
es la inversa de la función
en el intervalo abierto
. Así, se tiene que
Así, la solución a la ecuación es
ya que la función
tiene periodo
.
Si buscas una profesora matematicas a domicilio, ¡está en Superprof!
7
Solución: Usando la función
tenemos que

Por lo tanto la solución general es 
8
Solución: Usando la función
tenemos que

Por lo tanto la solución general es 
9
Solución: Usando la función
tenemos que

Por lo tanto la solución general es 
Nota: Las soluciones a las ecuaciones trigonométricas es más común encontrarlas en radianes que en grados, pero si se desea se pueden convertir a grados usando la siguiente fórmula:
Por ejemplo, la solución a la primera ecuación en grados se ve como

Es decir, 
Ejemplos de resolución de ecuaciones trigonométricas
A continuación veremos distintas ecuaciones trigonométricas que involucran un grado mayor de dificultad y su resolución.
1
Solución: De los ángulos notables de las funciones trigonométricas básicas sabemos que, en el intervalo
,

Así,

Es decir 
Por lo tanto, la solución general a la ecuación trigonométrica es
por periodicidad.
2
Solución: De los ángulos notables de las funciones trigonométricas básicas sabemos que 
Así, se tiene que 
Por lo tanto, la solución final es 
ya que
tiene periodo
.
3
Solución: Usando las identidades trigonométricas 
tenemos que

Luego

Por lo tanto 
La primera ecuación ya la hemos resuelto arriba cuya solución es
. La ecuación
no tiene solución ya que, si

pero
no está en el dominio de la función
y por lo tanto no existe solución. Finalmente tenemos que la solución a la ecuación es

4
Solución: Factorizando obtenemos que

Entonces
y 
en el intervalo 
Luego, la solución final es 
5
Solución: Para la resolución de este ejercicio usamos la identidad

Así tenemos que

Luego, si

Por lo tanto

La primera ecuación ya la hemos resuelto cuya solución es
Para resolver la segunda ecuación hacemos
y por periodicidad 
Finalmente, la solución general a la ecuación planteada es

6
Solución:
Usando la identidad 
tenemos que

Luego, siguiendo el mismo razonamiento hecho en el primer ejercicio, tenemos

y 
Por lo tanto, la solución a la ecuación es

Resumir con IA:









Apuntes es una plataforma dirigida al estudio y la práctica de las matemáticas a través de la teoría y ejercicios interactivos que ponemos a vuestra disposición. Esta información está disponible para todo aquel/aquella que quiera profundizar en el aprendizaje de esta ciencia. Será un placer ayudaros en caso de que tengáis dudas frente algún problema, sin embargo, no realizamos un ejercicio que nos presentéis de 0 sin que hayáis si quiera intentado resolverlo. Ánimo, todo esfuerzo tiene su recompensa.
Cálculo el lado bc aplicando la ley de cosenos b=5cm c=6cm a=60°
Materia:
erica V= 1
Calcula el lado BC aplicando
5
V
0
V
4
V
A
B
AB = 6cm
CR
Datos
0 =5cm
C=600
En un triángulo, se tienen los datos: A = 50° ,B = 65° y a = 12. Encuentra el lado b.
excelente, por ejemplo tengo uno donde me hacen falta el ángulo A, B, C tengo estos datos lado a:14, b:6, c:4
La respuesta es 14.197
¿ porqué no hay un modo de resolver triángulos sin la necesidad de aplicar la Trigonometria académica ? Saludos, profesor.
Hola, posiblemente exista otro método, pero por desgracia es todavía mas difícil que la trigonometría académica incluso te puedo asegurar que hoy en día es mas fácil y mas directo resolver los problemas de triángulos, entendemos que a veces llega a ser confuso pero te aseguramos que este método es el mas sencillo que existe.
Resuelve esto bien y claro.
¿Cuánto le falta al complemento del suplemento de 165,315° para alcanzar el suplemento del complemento de π/12 rad?
como resolver este ejercicio (tag x )2 -1
_________= -(tag x )2
(cotag x )2 -1