Capítulos
Un triángulo es oblicuángulo si no es recto ninguno de sus ángulos.
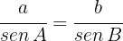
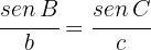
Para resolver triángulos oblicuángulos vamos a utilizar los teoremas del seno y del coseno.
Dependiendo de los elementos que conozcamos, nos encontramos con cuatro tipos de resolución de triángulos oblicuángulos:
Conociendo un lado y dos ángulos adyacentes a él
Supongamos que se conocen el lado
y sus ángulos adyacentes
. Para encontrar el ángulo y los lados restantes realizamos

1 Para encontrar el ángulo
restante aplicamos

2 Para calcular
aplicamos el teorema de los senos

Multiplicando ambos lados de la ecuación por
se obtiene

3 Para calcular
aplicamos el teorema de los senos

Multiplicando ambos lados de la ecuación por
se obtiene

Conociendo dos lados y el ángulo comprendido
Supongamos que se conocen los lados
y el ángulo
. Para encontrar el lado y los ángulos restantes realizamos

1 Para encontrar el lado
restante aplicamos el teorema de los cosenos

2 Para calcular el ángulo
aplicamos el teorema de los senos, considerando los recíprocos

Multiplicando ambos lados de la ecuación por
se obtiene

Buscamos los valores de
que satisfacen la igualdad. Observa que hay dos valores para
, uno en el primer cuadrante y otro en el segundo cuadrante
3 Para encontrar el ángulo faltante, aplicamos el resultado de que la suma de los ángulos interiores de un triángulo es
y despejamos el ángulo que nos interesa. Debes realizarlo para cada uno de los valores de 

Para determinar cual de las parejas de ángulos es correcta, debes verificar cual de ellas satisface el teorema del seno
Conociendo dos lados y un ángulo opuesto
Supongamos que se conocen los lados
y el ángulo
. Para encontrar el lado y los ángulos restantes, primero analizamos el seno del ángulo opuesto al lado conocido
empleando el teorema del seno


Despejamos
y analizamos su valor para determinar si tiene solución y con ello conluir si es posible encontar lo elementos restantes del triángulo.
No hay solución
Si
, la ecuación no tiene solución, este se debe a que el seno de un ángulo no puede ser mayor que 1.
Solución única
Si
, la ecuación tiene una única solución
por lo que se trata de un triángulo rectángulo.
Una o dos soluciones
Si
, la ecuación tiene una o dos soluciones dependiendo de los valores de
:
Si
se tiene una solución.
Si
se tiene dos soluciones.
Conociendo los tres lados
Supongamos que se conocen los tres lados del triángulo. Para los ángulos realizamos lo siguiente

1 Para encontrar el primer ángulo, digamos el ángulo
, aplicamos el teorema del coseno

Despejamos
y encontramos el valor de
que se encuentra en el primer cuadrante

2 Para calcular el segundo ángulo aplicamos nuevamente el teorema del coseno

3 Para calcular el tercer ángulo aplicamos

Ejercicios
Encontrar los elementos restantes de cada uno de los triángulos con los siguientes datos:


Se trata de un triángulo del cual conocemos un lado y dos ángulos adyacentes a el, por lo que aplicamos las fórmulas obtenidas anteriormente para el primer tipo de resolución.
1 Encontramos el tercer ángulo 

2 Para encontrar el lado
, aplicamos el teorema del seno y obtenemos

Sustituyendo los valores conocidos, se obtiene

3 Para encontrar el lado faltante, aplicamos el teorem del seno y obtenemos

Sustituyendo los valores conocidos se obtiene



Se trata de un triángulo del cual conocemos dos lados y el ángulos comprendido, por lo que aplicamos las fórmulas obtenidas anteriormente para el segundo tipo de resolución.
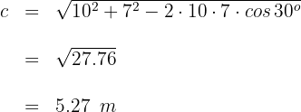
1 Aplicamos el teorema del coseno para encontrar el tercer lado 

2 Aplicamos el teorema del seno para encontrar uno de los dos ángulos faltantes

Sustituyendo los valores conocidos, se obtiene

3 Encontramos el ángulo faltante. Observa que se obtiene un valor para cada uno de los valores de 
Si
, entonces 
Si
, entonces 
Determinamos cual de las parejas de ángulos es correcta
Si 
Si 
Así, la pareja de ángulos buscada es 


Se trata de un triángulo del cual conocemos dos lados y un ángulo opuesto, por lo que aplicamos las fórmulas obtenidas anteriormente para el tercer tipo de resolución.
1 A partir del teorema del seno tenemos que
. Como el seno de un ángulo nunca puede ser mayor que 1, el problema no tiene solución. La figura muestra la imposibilidad de que exista el triángulo planteado.


Se trata de un triángulo del cual conocemos dos lados y un ángulo opuesto, por lo que aplicamos las fórmulas obtenidas anteriormente para el tercer tipo de resolución.
1 A partir del teorema del seno tenemos que
, la ecuación tiene una única s0lución
por lo que se trata de un triángulo rectángulo.
2 Calculamos el ángulo restante

3 Encontramos el lado faltante aplicando el teorema de Pitágoras


Se trata de un triángulo del cual conocemos dos lados y un ángulo opuesto, por lo que aplicamos las fórmulas obtenidas anteriormente para el tercer tipo de resolución.
1 A partir del teorema del seno tenemos que
, la ecuación tiene una o dos s0luciones
2 Calculamos los valores para el ángulo 

Como
solo es válida la solución 
3 Encontramos el ángulo faltante

4 Aplicando el teorema del seno encontramos el lado faltante


Se trata de un triángulo del cual conocemos dos lados y un ángulo opuesto, por lo que aplicamos las fórmulas obtenidas anteriormente para el tercer tipo de resolución.
1 A partir del teorema del seno tenemos que
, la ecuación tiene una o dos s0luciones
2 Calculamos los valores para el ángulo 

Como
ambas soluciones son válidas
3 Encontramos el ángulo faltante


4 Aplicando el teorema del seno encontramos el lado faltante



1 Para encontrar el primer ángulo, digamos el ángulo
, aplicamos el teorema del coseno, despejamos
y encontramos el valor de
que se encuentra en el primer cuadrante

2 Para calcular el segundo ángulo aplicamos nuevamente el teorema del coseno y encontramos el valor en el primer cuadrante

3 Para calcular el tercer ángulo aplicamos

Resumir con IA:









Apuntes es una plataforma dirigida al estudio y la práctica de las matemáticas a través de la teoría y ejercicios interactivos que ponemos a vuestra disposición. Esta información está disponible para todo aquel/aquella que quiera profundizar en el aprendizaje de esta ciencia. Será un placer ayudaros en caso de que tengáis dudas frente algún problema, sin embargo, no realizamos un ejercicio que nos presentéis de 0 sin que hayáis si quiera intentado resolverlo. Ánimo, todo esfuerzo tiene su recompensa.
Cálculo el lado bc aplicando la ley de cosenos b=5cm c=6cm a=60°
Materia:
erica V= 1
Calcula el lado BC aplicando
5
V
0
V
4
V
A
B
AB = 6cm
CR
Datos
0 =5cm
C=600
En un triángulo, se tienen los datos: A = 50° ,B = 65° y a = 12. Encuentra el lado b.
excelente, por ejemplo tengo uno donde me hacen falta el ángulo A, B, C tengo estos datos lado a:14, b:6, c:4
La respuesta es 14.197
¿ porqué no hay un modo de resolver triángulos sin la necesidad de aplicar la Trigonometria académica ? Saludos, profesor.
Hola, posiblemente exista otro método, pero por desgracia es todavía mas difícil que la trigonometría académica incluso te puedo asegurar que hoy en día es mas fácil y mas directo resolver los problemas de triángulos, entendemos que a veces llega a ser confuso pero te aseguramos que este método es el mas sencillo que existe.
Resuelve esto bien y claro.
¿Cuánto le falta al complemento del suplemento de 165,315° para alcanzar el suplemento del complemento de π/12 rad?
como resolver este ejercicio (tag x )2 -1
_________= -(tag x )2
(cotag x )2 -1