Capítulos
Recursos clave para resolver los ejercicios propuestos
Para poder resolver los ejercicios siguientes es necesario tener a la mano las siguiente herramientas:
- Círculo unitario
- Identidades trigonométricas básicas
- Identidades trigonométricas pitagóricas
- Identidades trigonométricas pares e impares
- Identidades trigonométricas para ángulos dobles
- Identidades trigonométricas para ángulos medios
- Suma y resta de ángulos y relaciones producto-suma
¿Estás buscando clases particulares matematicas Zaragoza? No te compliques, ¡y encuéntralas en Superprof!
Círculo unitario
La tabla conocida como círculo unitario, la cual contiene los valores de los radios mas representativos usados en la trigonométrica, ademas, el nombre de este círculo se debe a que es un círculo con radio 1.

Con esta herramienta sera muy sencillo localizar el valor de los ángulos, por ejemplo, si quisiéramos conocer el valor de
, simplemente debemos ubicarnos en el eje del seno, es decir, el eje y, y luego ubicarnos en el valor
.
Notaremos que la tabla indica que el angulo es
lo cual es el valor en grados, pero también existe el valor en radianes, el cual es 
Cuando necesitamos localizar los valores para la tangente, recordemos que la tangente es una linea recta que toca a la circunferencia en un único punto, en el caso de esta circunferencia, la tangente que se utiliza es aquella que toca el unto de los
y la altura de la tangente dependerá del valor en la ecuación, por ejemplo, en la ecuación
despejamos la variable y obtenemos
, entonces buscamos la tangente de altura
y trazamos la linea hasta el origen, observaremos el punto donde se intersecta con la circunferencia, y buscaremos el valor en la tabla

Corresponde a 
También podría decirse que corresponde a
o 
¿Buscas clases particulares matematicas? ¡Encuéntralas en Superprof!
Identidades trigonométricas básicas
Las identidades trigonométricas son igualdades definidas que nos ayudan a realizar el trabajo algebraico sin rompernos la cabeza

Identidades trigonométricas pitagóricas

Identidades trigonométricas pares e impares

Ángulos dobles y ángulos medios

Si vives en la Ciudad Condal, ¿por qué no pruebas nuestras clases particulares matematicas Barcelona? ¡La primera es gratis!
Suma y resta de ángulos y relaciones producto-suma

Ejercicios de ecuaciones trigonométricas básicas
Resuelve despejando la variable y localizando los valores en el círculo unitario
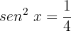
1 
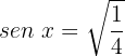
2 
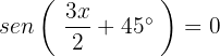
3 
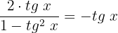
4 
5 
6 
7 
8 
9 
10 
11 
12 
13 
Para resolver las siguientes ecuaciones trigonométricas es necesario recordar la propiedad de la función inversa:
=x
1 
Despejamos la variable x, haciendo uso de la propiedad del inverso:

Localizamos en la tabla el valor para 
Nos ubicamos en el del seno, es decir, el eje y, ahora localizamos el valor
en el eje, por ultimo nos desplazamos a los puntos que atraviesan la circunferencia y que pasan por
. Estos valores serán el resultado de la ecuación


2 
Despejamos la variable x, haciendo uso de la propiedad del inverso:

Localizamos en la tabla el valor para 
Nos ubicamos en el del cos, es decir, el eje x, ahora localizamos el valor
en el eje, por ultimo nos desplazamos a los puntos que atraviesan la circunferencia y que pasan por
. Estos valores serán el resultado de la ecuación


3 
Despejamos la variable x, haciendo uso de la propiedad del inverso:


En nuestra tabla, visualicemos una tangente de altura cero, obviamente al buscar el valor en el círculo unitario encontraremos que corresponde a cero grados, entonces:

4 
Despejamos la variable x, haciendo uso de la propiedad del inverso:


Localizamos en la tabla el valor para 
Nos ubicamos en el del sen, es decir, el eje y, ahora localizamos el valor
en el eje, por ultimo nos desplazamos a los puntos que atraviesan la circunferencia y que pasan por
. Estos valores serán el resultado de la ecuación

5 
Despejamos la variable x, haciendo uso de la propiedad del inverso:


Localizamos en la tabla el valor para 
Nos ubicamos en el del cos, es decir, el eje x, ahora localizamos el valor
en el eje, por ultimo nos desplazamos a los puntos que atraviesan la circunferencia y que pasan por
. Estos valores serán el resultado de la ecuación

6 
Despejamos la variable x, haciendo uso de la propiedad del inverso:


Este ejercicio se mostró en el ejemplo a principio de la lección donde podrás observar la representación gráfica.
Visualizamos una recta tangente de altura
, trazamos una linea desde esa altura hasta el origen y observamos el punto de intersección con la circunferencia, buscamos el valor de ese punto en nuestro círculo unitario y obtenemos el valor de la ecuación:


7 
Despejamos la variable x, haciendo uso de la propiedad del inverso:


Localizamos en la tabla el valor para 
Nos ubicamos en el del sen, es decir, el eje y, ahora localizamos el valor
en el eje, por ultimo nos desplazamos a los puntos que atraviesan la circunferencia y que pasan por
. Estos valores serán el resultado de la ecuación

8 
Despejamos la variable x, haciendo uso de la propiedad del inverso:


Localizamos en la tabla el valor para 
Nos ubicamos en el del cos, es decir, el eje x, ahora localizamos el valor
en el eje, por ultimo nos desplazamos a los puntos que atraviesan la circunferencia y que pasan por
. Estos valores serán el resultado de la ecuación

9 
Despejamos la variable x, haciendo uso de la propiedad del inverso:


Ubicándonos en la coordenada
visualizamos una recta tangente de altura
, trazamos una linea desde esa altura hasta el origen y observamos el punto de intersección con la circunferencia, buscamos el valor de ese punto en nuestro círculo unitario y obtenemos el valor de la ecuación:


10 
Despejamos la variable x, haciendo uso de la propiedad del inverso:

Localizamos en la tabla el valor para 
Nos ubicamos en el del sen, es decir, el eje y, ahora localizamos el valor
en el eje, por ultimo nos desplazamos a los puntos que atraviesan la circunferencia y que pasan por
. Estos valores serán el resultado de la ecuación

11 
Despejamos la variable x, haciendo uso de la propiedad del inverso:

Localizamos en la tabla el valor para 
Nos ubicamos en el del sen, es decir, el eje y, ahora localizamos el valor
en el eje, por ultimo nos desplazamos a los puntos que atraviesan la circunferencia y que pasan por
. Estos valores serán el resultado de la ecuación

12 
Despejamos la variable x, haciendo uso de la propiedad del inverso:

Localizamos en la tabla el valor para 
Nos ubicamos en el del cos, es decir, el eje x, ahora localizamos el valor
en el eje, por ultimo nos desplazamos a los puntos que atraviesan la circunferencia y que pasan por
. Estos valores serán el resultado de la ecuación

13 
Despejamos la variable x, haciendo uso de la propiedad del inverso:

Localizamos en la tabla el valor para 
Nos ubicamos en el del sen, es decir, el eje y, ahora localizamos el valor
en el eje, por ultimo nos desplazamos a los puntos que atraviesan la circunferencia y que pasan por
. Estos valores serán el resultado de la ecuación

Resuelve utilizando las identidades trigonométricas

Para resolver la ecuacion, buscaremos en la tabla los valores de 

Esto nos da 2 casos posibles, sustituimos para el primer caso

Despejamos la variable


Sstituimos para el segundo caso

Despejamos la variable



Usando las identidades trigonométricas, trataremos de simplificar esta ecuación en funciones mas simples como seno, coseno o tangente
Usemos la identidad trigonométrica 

Ahora utilizaremos la identidad trigonométrica 

Simplificamos:

Realizaremos la resta de fracciones utilizando el producto cruzado para obtener:

Simplificamos:

Convertimos la unidad en una fracción equivalente con el mismo denominador:

Sustituimos y simplificamos


Ahora multiplicamos ambos miembros de la ecuación por 
Por el lado izquierdo tenemos :

Al simplificar obtenemos:

Por el lado derecho tenemos
lo cual claramente es igual a cero
Entonces:

Factorizamos:

Ahora existen 2 casos:
Primer caso: despejando el primer termino


Para este caso, dividiremos ambos miembros por 



Utilizaremos la identidad 

Despejamos la variable



Segundo caso: despejando el segundo termino


Para este caso, dividiremos ambos miembros por 



Utilizaremos la identidad 

Despejamos la variable

Ahora buscamos el valor en nuestro círculo unitario como hemos hecho anteriormente


Podemos observar claramente que la ecuación es de la forma :

Es decir, una ecuación de segundo grado que se puede resolver mediante la formula general:

Sustituimos:


Caso 1:


Despejamos la variable:

Localizamos el valor en el círculo unitario

Caso 2:



Despejamos la variable :

Localizamos el valor en el círculo unitario


Utilizaremos la identidad pitagórica siguiente:

Sustituimos en nuestra ecuación:


Sumamos términos semejantes:

Despejamos la variable:






Usaremos la identidad trigonométrica para ángulos dobles:

De las 3 opciones que tenemos, utilizaremos la primera 
Sustituimos en nuestra ecuación:


Ahora utilizaremos la identidad pitagórica siguiente:

Sustituimos en nuestra ecuación:


Igualamos la ecuación a cero y simplificamos los términos semejantes


Ahora vamos a factorizar :

Observamos que se generan 2 casos.
Caso 1:


Caso 2:

Como podemos observar en el circulo unitario, los valores de las funciones seno y coseno están en el intervalo [-1,1], así que el
no existe, por lo tanto este caso, no tiene solución.
Sin solución

En este caso usaremos la identidad trigonométrica de suma de ángulos :

Sustituimos los valores de nuestro ejercicio en la identidad trigonométrica:


Simplificamos términos semejantes:



Para que la ecuación sea igual a cero, es claro que uno de los 2 términos debe ser igual a cero :
Caso 1: 
Caso 2: 
Resolviendo caso 1:

Despejamos la variable aplicando la propiedad de la función inversa :

Observando el circulo unitario sabemos que:

Resolvamos la ecuación para 

Despejamos la variable y resolvemos:





Resolvamos la ecuación para 

Despejamos la variable y resolvemos:






Esto quiere decir, que si la variable x toma cualquiera de esos 2 valores, entonces la ecuación
sera igual a 0 y entonces la ecuación se satisface.
Resolviendo caso 2:

Despejamos la variable aplicando la propiedad de la función inversa :

Observando el circulo unitario sabemos que:

Resolvamos la ecuación para 

Despejamos la variable y resolvemos:



Resolvamos la ecuación para 

Despejamos la variable y resolvemos:




Esto quiere decir, que si la variable x toma cualquiera de esos 2 valores, entonces la ecuación
sera igual a 0 y entonces la ecuación se satisface.
En conclusión, los valores que puede tomar la variable x y que son solución a la ecuación son:


Para este caso usaremos una identidad trigonométrica de los ángulos dobles:

Lo primero sera multiplicar toda nuestra ecuación por -1 :

Ahora ordenamos de forma que se parezca mas a nuestra identidad trigonométrica

Usamos la identidad sustituyendo los valores de nuestra ecuación :

Para despejar la variable, es necesario usar la propiedad de función inversa


Buscando en el circulo unitario, encontraremos que :

Resolviendo para
:

Despejamos la variable:

Resolviendo para
:

Despejamos la variable:

Los valores que puede tomar la variable x y que son solución a la ecuación son:


Usaremos la identidad trigonométrica de la suma de cosenos:

Sustituimos:


Nuestra ecuación queda de la siguiente manera:

Dividimos ambos lados de la ecuación por 2:

Dividimos ambos lados de la ecuación por cos(x):

Aplicamos la propiedad de la función inversa:


Despejamos la variable:


La ecuación se satisface cuando 

Para este caso utilizaremos la identidad trigonométrica ubicada en la sección de "Identidades trigonométricas para ángulos dobles" :

Vamos a sustituir con los valores de nuestra ecuación para obtener:

Entonces, nuestra ecuación quedara de la forma siguiente:

Igualaremos la ecuación a cero:

Realizamos la suma de fracciones usando el producto cruzado :

Eliminaremos el denominador multiplicando ambos lados de la ecuación por
:

Realizamos el producto indicado:

Agrupamos términos semejantes y los sumamos:

Factorizamos usando
como factor común :

Ahora dividimos ambos lados de la ecuación por
y obtenemos:

Multiplicamos por -1 ambos lados de la ecuación y ordenamos para resolver como ecuación de segundo grado :



Aplicamos la propiedad de función inversa:




Primero, restaremos
en ambos lados:


Ahora elevamos al cuadrado ambos lados:

Igualamos la ecuación a cero:

Resolvemos los cuadrados, para lo cual usamos la formula del binomio al cuadrado:


Utilizamos la identidad trigonométrica pitagórica :

Sustituimos

Simplificamos:


Simplificamos términos semejantes :

Realizaremos un cambio de variable:
Sea 
Sustituimos:

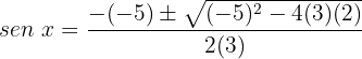
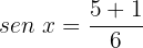
Observemos que se trata de una ecuación de segundo grado que podemos resolver mediante la formula general:

Sustituimos:

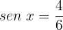
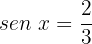
Resolvemos:






Deshacemos el cambio de variable :

Aplicamos la propiedad de función inversa:


Ahora solo debemos localizar el valor en nuestra tabla del circulo unitario:

La ecuación se satisface cuando x toma cualquiera de esos 2 valores.

Para este caso utilizaremos la identidad trigonométrica para ángulos dobles:
Buscamos en nuestro circulo unitario el valor correspondiente a
:

Sustituimos:

Aplicamos la propiedad de la función inversa:


Localizamos los valores correspondientes en nuestro círculo unitario

Entonces:

Despejamos la variable dividiendo por 2:

La ecuación se satisface cuando x toma cualquiera de esos 2 valores.

Usaremos la siguiente identidad trigonométrica para ángulos dobles:

Pero antes de sustituir, obtendremos una variante dividiendo por 2 cada lado de la identidad:

Sustituimos:

Simplificamos realizando la division indicada:

Dividimos ambos lados por 2:

Aplicamos la propiedad de función inversa:


Localizamos el valor para
en nuestro circulo unitario:

Sustituimos para ambos casos:
Caso 1:

Dividimos ambos lados por 2:

Despejamos la variable sumando 30° a ambos lados de la ecuación:

Caso 2:

Dividimos ambos lados por 2:

Despejamos la variable sumando 30° a ambos lados de la ecuación:

La ecuación se satisface cuando :


Utilizaremos la identidad trigonométrica básica :

Sustituimos:


Eliminamos el denominador multiplicando ambos lados de la ecuación por 

Ahora utilizaremos la identidad trigonométrica pitagórica:

Sustituimos:

Aplicamos propiedad distributiva:

Igualamos a cero y ordenamos:

Multiplicamos toda la expresión por 

Realizamos un cambio de variable, donde:

Sustituimos:

Resolvemos mediante la formula eneal para ecuaciones de segundo grado:




Deshacemos el cambio de variable:

Caso 1:



Aplicamos propiedad de función inversa:


Localizamos el valor correspondiente en nuestro circulo unitario :

Caso 2:



Aplicamos propiedad de función inversa:


Como sabemos y podemos observar en nuestro circulo unitario, la función seno no esta definida para valores mayores a 1, ni menores a -1 por lo tanto este caso no tiene solución.
La función se satisface cuando:


Usaremos la siguiente identidad trigonométrica para ángulos dobles:

Sustituimos:

Entonces:

Simplificamos:

Igualamos a cero la ecuación:

Factorizamos:



Extraemos el termino común
:

Ahora vamos a factorizar la parte dentro del corchete :

Reescribiremos el 3 como 

Ordenamos para poder aplicar la diferencia de cuadrados :


Aplicamos la ley de signos
:

Ahora podemos aplicar la diferencia de cuadrados:

Recordemos que este es el resultado de la parte del corchete que teníamos arriba, vamos a sustituirla en nuestra ecuación ahora que ya esta factorizado :

Es claro que para la ecuacion se satisfaga, basta con que uno solo de los corchetes, de como resultado cero, entonces tenemos 3 casos:
Caso 1, cuando 
Dividimos por 2 ambos miembros de la ecuación:


Localizamos en el circulo unitario:

Caso 2, cuando 
Dividimos ambos miembros por cos x y usamos la identidad trigonométrica básica de la tangente:



Despejamos la variable :



Caso 3, cuando 
Este caso es bastante similar al caso 2:





La ecuacion se satisface cuando x adquiere alguno de los siguientes valores :


Igualamos la ecuación a cero:

Aplicamos un cambio de variable, donde 
Sustituimos:

Usamos la siguiente identidad trigonométrica para ángulos dobles:

Sustituimos nuestra variable en la identidad:

Sustituimos lo obtenido en nuestra ecuación :

Desarrollamos:

Sumamos términos semejantes y ordenamos:


Realizamos otro cambio de variable, sea 

Resolvemos mediante la formula general para ecuaciones de segundo grado :





Deshacemos el ultimo cambio de variable:


Localizamos los valores en nuestro circulo unitario y tenemos que:

Ahora deshacemos el primer cambio de variable:

Despejamos la variable, multiplicando por 2:

La ecuación se satisface cuando x adquiere cualquiera de esos 2 valores.
Si buscas un profesor de matematicas online, o simplemente clases de matematicas puntuales, en Superprof te ayudamos a encontrar lo que mejor te convenga.
Resumir con IA:









Apuntes es una plataforma dirigida al estudio y la práctica de las matemáticas a través de la teoría y ejercicios interactivos que ponemos a vuestra disposición. Esta información está disponible para todo aquel/aquella que quiera profundizar en el aprendizaje de esta ciencia. Será un placer ayudaros en caso de que tengáis dudas frente algún problema, sin embargo, no realizamos un ejercicio que nos presentéis de 0 sin que hayáis si quiera intentado resolverlo. Ánimo, todo esfuerzo tiene su recompensa.
Cálculo el lado bc aplicando la ley de cosenos b=5cm c=6cm a=60°
Materia:
erica V= 1
Calcula el lado BC aplicando
5
V
0
V
4
V
A
B
AB = 6cm
CR
Datos
0 =5cm
C=600
En un triángulo, se tienen los datos: A = 50° ,B = 65° y a = 12. Encuentra el lado b.
excelente, por ejemplo tengo uno donde me hacen falta el ángulo A, B, C tengo estos datos lado a:14, b:6, c:4
La respuesta es 14.197
¿ porqué no hay un modo de resolver triángulos sin la necesidad de aplicar la Trigonometria académica ? Saludos, profesor.
Hola, posiblemente exista otro método, pero por desgracia es todavía mas difícil que la trigonometría académica incluso te puedo asegurar que hoy en día es mas fácil y mas directo resolver los problemas de triángulos, entendemos que a veces llega a ser confuso pero te aseguramos que este método es el mas sencillo que existe.
Resuelve esto bien y claro.
¿Cuánto le falta al complemento del suplemento de 165,315° para alcanzar el suplemento del complemento de π/12 rad?
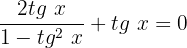
como resolver este ejercicio (tag x )2 -1
_________= -(tag x )2
(cotag x )2 -1