Elige la opción correcta:
Si prefieres aprender desde casa, ¿por qué no buscas un profesor de matematicas online? ¡La primera clase es gratis!
Sabiendo que
y que
, calcula las restantes razones trigonométricas del ángulo
.
Selecciona una respuesta.
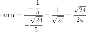
1En primer lugar, observemos que decir que
es lo mismo que decir que
está en el tercer cuadrante. Entonces, su coseno es negativo y su tangente es positiva.
2Para encontrar el coseno, sustituimos el valor de
en la identidad trigonométrica 

Despejando
y sabiendo que coseno es negativo en el tercer cuadrante se obtiene

3Para encontrar la tangente, sustituimos el valor de
y
en la identidad trigonométrica 

Sabiendo que
y que
, calcula las restantes razones trigonométricas del ángulo
.
Selecciona una respuesta.
1En primer lugar, observemos que decir que
es lo mismo que decir que
está en el primer cuadrante. Entonces, su seno y su tangente son positivos.
2Para encontrar el seno, sustituimos el valor de
en la identidad trigonométrica 

Despejando
y sabiendo que seno es positivo en el primer cuadrante se obtiene

3Para encontrar la tangente, sustituimos el valor de
y
en la identidad trigonométrica 

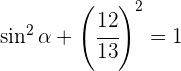
Sabiendo que
y que
está en el segundo cuadrante, calcula las restantes razones trigonométricas del ángulo
.
Selecciona una respuesta.
1Como
está en el segundo cuadrante, su seno es positivo y su coseno es negativo.
2Para encontrar el coseno, sustituimos el valor de
en la identidad trigonométrica 

Expresamos
en término de 

Para encontrar el coseno, sustituimos el valor de
en la identidad trigonométrica 

Despejando
y sabiendo que es negativo en el segundo cuadrante se obtiene

3Para encontrar el seno, sustituimos el valor de
en 

Sabiendo que
y que
está en el cuarto cuadrante, calcula las restantes razones trigonométricas del ángulo
.
Selecciona una respuesta.
1Como
está en el cuarto cuadrante, su seno es negativo y su coseno es positivo.
2Para encontrar el coseno, sustituimos el valor de
en la identidad trigonométrica 

Despejando
y sabiendo que coseno es positivo en el cuarto cuadrante se obtiene

3Para encontrar la tangente, sustituimos el valor de
y
en la identidad trigonométrica 

Sabiendo que
y que
, calcula las restantes razones trigonométricas del ángulo
.
Selecciona una respuesta.
1En primer lugar, observemos que decir que
es lo mismo que decir que
está en el cuarto cuadrante. Entonces, su seno es negativo y su coseno es positivo.
2Para encontrar el coseno, sustituimos el valor de
en la identidad trigonométrica 

3Para encontrar el seno, sustituimos el valor de
en la identidad trigonométrica 

Despejando
y sabiendo que seno es negativo en el cuarto cuadrante se obtiene

Sabiendo que
y que
, calcula las restantes razones trigonométricas, del ángulo
.
Selecciona una respuesta.
En primer lugar, observemos que decir que
es lo mismo que decir que
está en el tercer cuadrante. Entonces, su seno es negativo, su coseno negativo y su tangente es positiva.
2Para encontrar el coseno, sustituimos el valor de
en la identidad trigonométrica 

3Para encontrar el seno, sustituimos el valor de
en la identidad trigonométrica 

Despejando
y sabiendo que seno es negativo en el tercer cuadrante se obtiene

Sabiendo que
y que
está en el cuarto cuadrante, calcula las restantes razones trigonométricas del ángulo
.
Selecciona una respuesta.
1En primer lugar, observemos que como
está en el cuarto cuadrante, su seno es negativo, su coseno positivo y su tangente negativa.
2Para encontrar el seno, sustituimos el valor de
en la identidad trigonométrica 

3Para encontrar el coseno, sustituimos el valor de
en la identidad trigonométrica 

Despejando
y sabiendo que coseno es positivo en el cuarto cuadrante se obtiene

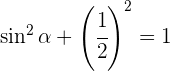
Sabiendo que
, calcula las restantes razones trigonométricas del ángulo
.
Selecciona una respuesta.
1Como
es positivo, entonces se encuentra en el primer o tercer cuadrante, y su seno y coseno son positivos o negativos.
2Para encontrar el seno, sustituimos el valor de
en la identidad trigonométrica 

Expresamos
en término de 

Para encontrar el seno, sustituimos el valor de
en la identidad trigonométrica 

Despejando
y sabiendo que es positivo en el primer cuadrante y negativo en el tercero, se obtiene

3Para encontrar el coseno, sustituimos el valor de
en 

Sabiendo que
, calcula las restantes razones trigonométricas del ángulo 
Selecciona una respuesta.
1En primer lugar, observemos
es negativo en el tercer y cuarto cuadrante. Entonces, su coseno es negativo y su tangente es positiva en el tercer cuadrante; mientras que su coseno es positivo y su tangente negativo en el cuarto cuadrante.
2Para encontrar el coseno, sustituimos el valor de
en la identidad trigonométrica 

Despejando
se obtiene

3Para encontrar la tangente, sustituimos el valor de
y
en la identidad trigonométrica 

Sabiendo que
, calcula las restantes razones trigonométricas del ángulo
.
Selecciona una respuesta.
1Como
es positivo, entonces se encuentra en el primer o tercer cuadrante, y su seno y coseno son positivos o negativos.
2Para encontrar el coseno, sustituimos el valor de
en la identidad trigonométrica 

Expresamos
en término de 

Para encontrar el coseno, sustituimos el valor de
en la identidad trigonométrica 

Despejando
y sabiendo que es positivo en el primer cuadrante y negativo en el tercero, se obtiene

3Para encontrar el seno, sustituimos el valor de
en 

Si tienes dudas puedes consultar la teoría
Resumir con IA:

Apuntes es una plataforma dirigida al estudio y la práctica de las matemáticas a través de la teoría y ejercicios interactivos que ponemos a vuestra disposición. Esta información está disponible para todo aquel/aquella que quiera profundizar en el aprendizaje de esta ciencia. Será un placer ayudaros en caso de que tengáis dudas frente algún problema, sin embargo, no realizamos un ejercicio que nos presentéis de 0 sin que hayáis si quiera intentado resolverlo. Ánimo, todo esfuerzo tiene su recompensa.
Cálculo el lado bc aplicando la ley de cosenos b=5cm c=6cm a=60°
Materia:
erica V= 1
Calcula el lado BC aplicando
5
V
0
V
4
V
A
B
AB = 6cm
CR
Datos
0 =5cm
C=600
En un triángulo, se tienen los datos: A = 50° ,B = 65° y a = 12. Encuentra el lado b.
excelente, por ejemplo tengo uno donde me hacen falta el ángulo A, B, C tengo estos datos lado a:14, b:6, c:4
La respuesta es 14.197
¿ porqué no hay un modo de resolver triángulos sin la necesidad de aplicar la Trigonometria académica ? Saludos, profesor.
Hola, posiblemente exista otro método, pero por desgracia es todavía mas difícil que la trigonometría académica incluso te puedo asegurar que hoy en día es mas fácil y mas directo resolver los problemas de triángulos, entendemos que a veces llega a ser confuso pero te aseguramos que este método es el mas sencillo que existe.
Resuelve esto bien y claro.
¿Cuánto le falta al complemento del suplemento de 165,315° para alcanzar el suplemento del complemento de π/12 rad?
como resolver este ejercicio (tag x )2 -1
_________= -(tag x )2
(cotag x )2 -1