Capítulos
¿Qué son las ecuaciones trigonométricas?
En las ecuaciones trigonométricas intervienen funciones trigonométricas, que son periódicas y por tanto sus soluciones se pueden presentar en uno o en dos cuadrantes y además se repiten en todas las vueltas.
Para resolver una ecuación trigonométrica haremos las transformaciones necesarias para trabajar con una sola función trigonométrica, para ello utilizaremos las identidades trigonométricas fundamentales.
Ejemplos de resolución de ecuaciones trigonométricas
Resuelve las ecuaciones trigonométricas:
1 
Usando identidades trigonométricas, convertimos la tangente en seno y coseno






De forma general:


con 
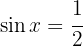
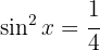
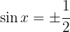
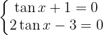
2
para 
De la identidad pitagórica del seno y coseno
podemos deducir que
, por lo que la ecuación se reescribe como:

Agrupamos términos semejantes y despejamos la 





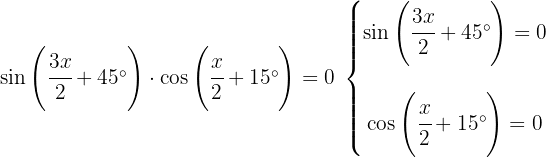
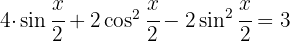
3 
Transformamos la suma en producto

Dividimos por 2 en los dos miembros e igualamos cada factor a 0.



con 
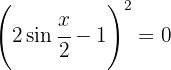
4 
Multiplicamos ambos miembros de la ecuación por 


Factorizamos el primer miembro como un trinomio cuadrado de la forma
e igualamos a cero cada factor



con 
5 
Usamos
para escribir la ecuación en función del seno:


Factorizando por factor común

Del primer factor:

con 
Del segundo factor no se obtiene solución ya que 
6 
Usamos la identidad del ángulo doble para la tangente 

Simplificando la expresión obtenemos



con 
7 
Podemos aplicar la identidad 




con 
8 
Aplicando la identidad del seno del ángulo doble obtenemos


Igualamos cada factor a cero

De la primer ecuación deducimos que

con 
De la ecuación 2:




con 
9 
Usando la identidad 


Usamos la identidad pitagórica de senos y cosenos


Factorizamos el trinomios cuadrado perfecto




con 
Visita nuestros otros artículos relacionados a ecuaciones trigonométricas:
Ejercicios resueltos de ecuaciones trigonométricas
Ejercicios resueltos de sistemas de ecuaciones trigonométricas
Resumir con IA:









Apuntes es una plataforma dirigida al estudio y la práctica de las matemáticas a través de la teoría y ejercicios interactivos que ponemos a vuestra disposición. Esta información está disponible para todo aquel/aquella que quiera profundizar en el aprendizaje de esta ciencia. Será un placer ayudaros en caso de que tengáis dudas frente algún problema, sin embargo, no realizamos un ejercicio que nos presentéis de 0 sin que hayáis si quiera intentado resolverlo. Ánimo, todo esfuerzo tiene su recompensa.
Cálculo el lado bc aplicando la ley de cosenos b=5cm c=6cm a=60°
Materia:
erica V= 1
Calcula el lado BC aplicando
5
V
0
V
4
V
A
B
AB = 6cm
CR
Datos
0 =5cm
C=600
En un triángulo, se tienen los datos: A = 50° ,B = 65° y a = 12. Encuentra el lado b.
excelente, por ejemplo tengo uno donde me hacen falta el ángulo A, B, C tengo estos datos lado a:14, b:6, c:4
La respuesta es 14.197
¿ porqué no hay un modo de resolver triángulos sin la necesidad de aplicar la Trigonometria académica ? Saludos, profesor.
Hola, posiblemente exista otro método, pero por desgracia es todavía mas difícil que la trigonometría académica incluso te puedo asegurar que hoy en día es mas fácil y mas directo resolver los problemas de triángulos, entendemos que a veces llega a ser confuso pero te aseguramos que este método es el mas sencillo que existe.
Resuelve esto bien y claro.
¿Cuánto le falta al complemento del suplemento de 165,315° para alcanzar el suplemento del complemento de π/12 rad?
como resolver este ejercicio (tag x )2 -1
_________= -(tag x )2
(cotag x )2 -1