Capítulos
Las identidades trigonométricas son igualdades que involucran funciones trigonométricas y se
verifican para cualquier valor permitido de la variable o variables que se consideren, es decir, para
cualquier valor que pudieran tomar los ángulos sobre los cuales se aplican las funciones.
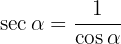
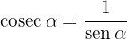
Identidades fundamentales
Sea ángulo cualquiera, entonces se cumplen las siguientes identidades:
1
2
3
4
5
6
Ejemplo
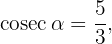
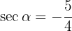
Sabiendo que , y que
. Calcular las restantes razones trigonométricas del ángulo
.
Tenemos que , entonces de la identidad (4) tendremos que

de la identidad (1)

en este caso

y puesto que el ángulo se encuentra entre , entonces

De esto ultimo y la identidad (5) obtenemos que

y finalmente de (6)

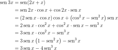
Suma y diferencia de ángulos
Sean ángulos cualesquiera, entonces se cumplen las siguientes igualdades:
1
2
3
4
5
6
Ejemplos



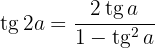
Ángulo doble
Sea angulo cualquiera, entonces se cumplen las siguientes igualdades
1
2
3
Ejemplos



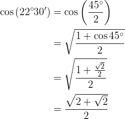
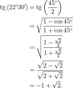
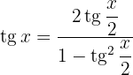
Ángulo mitad
El ángulo mitad cumple las siguientes igualdades
1
2
3
Ejemplos



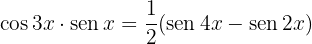
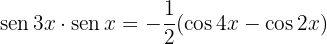
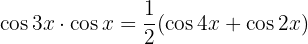
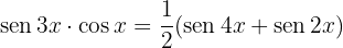
Transformaciones de sumas en productos
Sean ángulos cualesquiera, entonces
1
2
3
4
Ejemplos




Transformaciones de productos en sumas
Sean ángulos cualesquiera, entonces
1
2
3
4
Ejemplos



Ejercicios utilizando las identidades-igualdades
1 Desarrollar:

2 Calcula el , en función de
:

3 Calcula el y
en función de
.



Apuntes es una plataforma dirigida al estudio y la práctica de las matemáticas a través de la teoría y ejercicios interactivos que ponemos a vuestra disposición. Esta información está disponible para todo aquel/aquella que quiera profundizar en el aprendizaje de esta ciencia. Será un placer ayudaros en caso de que tengáis dudas frente algún problema, sin embargo, no realizamos un ejercicio que nos presentéis de 0 sin que hayáis si quiera intentado resolverlo. Ánimo, todo esfuerzo tiene su recompensa.
Cálculo el lado bc aplicando la ley de cosenos b=5cm c=6cm a=60°
Materia:
erica V= 1
Calcula el lado BC aplicando
5
V
0
V
4
V
A
B
AB = 6cm
CR
Datos
0 =5cm
C=600
En un triángulo, se tienen los datos: A = 50° ,B = 65° y a = 12. Encuentra el lado b.
excelente, por ejemplo tengo uno donde me hacen falta el ángulo A, B, C tengo estos datos lado a:14, b:6, c:4
La respuesta es 14.197
¿ porqué no hay un modo de resolver triángulos sin la necesidad de aplicar la Trigonometria académica ? Saludos, profesor.
Hola, posiblemente exista otro método, pero por desgracia es todavía mas difícil que la trigonometría académica incluso te puedo asegurar que hoy en día es mas fácil y mas directo resolver los problemas de triángulos, entendemos que a veces llega a ser confuso pero te aseguramos que este método es el mas sencillo que existe.
Resuelve esto bien y claro.
¿Cuánto le falta al complemento del suplemento de 165,315° para alcanzar el suplemento del complemento de π/12 rad?
como resolver este ejercicio (tag x )2 -1
_________= -(tag x )2
(cotag x )2 -1