Capítulos
La cotangente del ángulo
es la razón inversa de la tangente de
.

Se denota por 

Los/las mejores profesores/as de Matemáticas que están disponibles
Cotangente en la circunferencia goniométrica




Signo de la cotangente
Los signos de la cotangente en cada uno de los cuadrantes es

Valores de la cotangente de algunos ángulos

Relación entre la cotangente y la cosecante

Cotangente de diversos ángulos
Cotangente del ángulo complementario

Cotangente del ángulo suplementario

Cotangente de ángulos que se diferencian en 180°

Cotangente del ángulo opuesto

Cotangente del ángulo negativo

Cotangente de un ángulo mayor de 360º

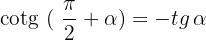
Cotangente de ángulos que diferencian en 90º

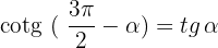
Cotangente de ángulos que suman en 270º

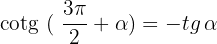
Cotangente de ángulos que se diferencian en 270º

Resumir con IA:









Apuntes es una plataforma dirigida al estudio y la práctica de las matemáticas a través de la teoría y ejercicios interactivos que ponemos a vuestra disposición. Esta información está disponible para todo aquel/aquella que quiera profundizar en el aprendizaje de esta ciencia. Será un placer ayudaros en caso de que tengáis dudas frente algún problema, sin embargo, no realizamos un ejercicio que nos presentéis de 0 sin que hayáis si quiera intentado resolverlo. Ánimo, todo esfuerzo tiene su recompensa.
Cálculo el lado bc aplicando la ley de cosenos b=5cm c=6cm a=60°
Materia:
erica V= 1
Calcula el lado BC aplicando
5
V
0
V
4
V
A
B
AB = 6cm
CR
Datos
0 =5cm
C=600
En un triángulo, se tienen los datos: A = 50° ,B = 65° y a = 12. Encuentra el lado b.
excelente, por ejemplo tengo uno donde me hacen falta el ángulo A, B, C tengo estos datos lado a:14, b:6, c:4
La respuesta es 14.197
¿ porqué no hay un modo de resolver triángulos sin la necesidad de aplicar la Trigonometria académica ? Saludos, profesor.
Hola, posiblemente exista otro método, pero por desgracia es todavía mas difícil que la trigonometría académica incluso te puedo asegurar que hoy en día es mas fácil y mas directo resolver los problemas de triángulos, entendemos que a veces llega a ser confuso pero te aseguramos que este método es el mas sencillo que existe.
Resuelve esto bien y claro.
¿Cuánto le falta al complemento del suplemento de 165,315° para alcanzar el suplemento del complemento de π/12 rad?
como resolver este ejercicio (tag x )2 -1
_________= -(tag x )2
(cotag x )2 -1