Capítulos
Los/las mejores profesores/as de Matemáticas que están disponibles
Definición de la tangente
La tangente del ángulo B es la razón entre el cateto opuesto al ángulo y el cateto contiguo o adyacente al ángulo.

Se denota por tg B o tan B.
Tangente en la circunferencia goniométrica

Por las definiciones de las razones trigonométricas tenemos:
Signo de la tangente

En la imagen podemos observar el signo de la tangente dependiendo su ubicación en el plano cartesiano.
Valores de la tangente de algunos ángulos

Relación entre la tangente y la secante
La siguiente ecuación es conocida como una identidad Pitagórica que relaciona a la tangente y la secante.
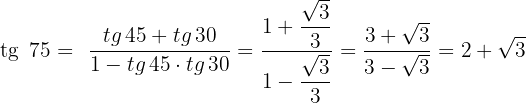
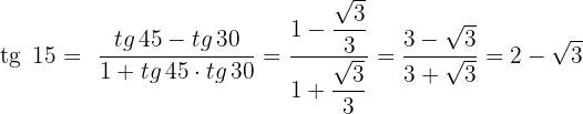
Ejemplo
Sabiendo que
, y que
. Calcular el coseno de
.
Cambiamos la secante por su definición como la razón 1 entre el coseno, es decir,
Propiedades de la tangente
Tangente del ángulo complementario
Ejemplo:
Tangente del ángulo suplementario
Ejemplo: 
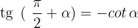
Tangente de ángulos que se diferencian en 180°
Ejemplo:
Tangente del ángulo opuesto
Ejemplo:
Tangente del ángulo negativo
Ejemplo:
Tangente de un ángulo mayor de 360º
Ejemplo:
Tangente de ángulos que diferencian en 90º
Ejemplo:
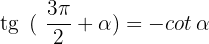
Tangente de ángulos que suman en 270º
Ejemplo:
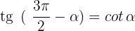
Tangente de ángulos que se diferencian en 270º
Ejemplo:
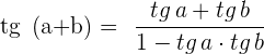
Tangente de una suma
Ejemplo:
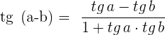
Tangente de una diferencia
Ejemplo:
Tangente del ángulo doble
Ejemplo:
Tangente del ángulo mitad
Ejemplo:
Resumir con IA:









Apuntes es una plataforma dirigida al estudio y la práctica de las matemáticas a través de la teoría y ejercicios interactivos que ponemos a vuestra disposición. Esta información está disponible para todo aquel/aquella que quiera profundizar en el aprendizaje de esta ciencia. Será un placer ayudaros en caso de que tengáis dudas frente algún problema, sin embargo, no realizamos un ejercicio que nos presentéis de 0 sin que hayáis si quiera intentado resolverlo. Ánimo, todo esfuerzo tiene su recompensa.
Cálculo el lado bc aplicando la ley de cosenos b=5cm c=6cm a=60°
Materia:
erica V= 1
Calcula el lado BC aplicando
5
V
0
V
4
V
A
B
AB = 6cm
CR
Datos
0 =5cm
C=600
En un triángulo, se tienen los datos: A = 50° ,B = 65° y a = 12. Encuentra el lado b.
excelente, por ejemplo tengo uno donde me hacen falta el ángulo A, B, C tengo estos datos lado a:14, b:6, c:4
La respuesta es 14.197
¿ porqué no hay un modo de resolver triángulos sin la necesidad de aplicar la Trigonometria académica ? Saludos, profesor.
Hola, posiblemente exista otro método, pero por desgracia es todavía mas difícil que la trigonometría académica incluso te puedo asegurar que hoy en día es mas fácil y mas directo resolver los problemas de triángulos, entendemos que a veces llega a ser confuso pero te aseguramos que este método es el mas sencillo que existe.
Resuelve esto bien y claro.
¿Cuánto le falta al complemento del suplemento de 165,315° para alcanzar el suplemento del complemento de π/12 rad?
como resolver este ejercicio (tag x )2 -1
_________= -(tag x )2
(cotag x )2 -1