Calcula las raíces de las siguientes ecuaciones de grado superior a dos y escríbelas de menor a mayor. Si alguna solución es una fracción escribe el resultado de la forma a/b
1


Este campo es obligatorio.

Este campo es obligatorio.
1 Aplicamos Ruffini para 

Como el residuo es cero, entonces
es una raíz de la ecuación y esta se puede factorizar como

2 Como
es un trinomio cuadrado perfecto, entonces se factoriza de la forma

Así,
es una raíz doble de la ecuación y esta se puede factorizar como

3 Las raíces de la ecuación son
y 
2


Este campo es obligatorio.

Este campo es obligatorio.
1 Aplicamos Ruffini para 

Como el residuo es cero, entonces
es una raíz de la ecuación y esta se puede factorizar como

2 Aplicamos la fórmula general cuadrática

Calculamos las raíces


3 Las raíces de la ecuación son
y
es raíz doble.
3


Este campo es obligatorio.

Este campo es obligatorio.
1 Aplicamos Ruffini para 

Como el residuo es cero, entonces
es una raíz de la ecuación y esta se puede factorizar como

2 Aplicamos nuevamente Ruffini para 

Como el residuo es cero, entonces
es una raíz doble de la ecuación y esta se puede factorizar como

3 Como
es un trinomio cuadrado perfecto, entonces se factoriza de la forma

Así,
es una raíz doble de la ecuación y esta se puede factorizar como

4 Las raíces de la ecuación son
y 
4


Este campo es obligatorio.

Este campo es obligatorio.
1 Aplicamos Ruffini para 

Como el residuo es cero, entonces
es una raíz de la ecuación y esta se puede factorizar como

2 Aplicamos nuevamente Ruffini para 

Como el residuo es cero, entonces
es una raíz doble de la ecuación y esta se puede factorizar como

3 Como
es un trinomio cuadrado perfecto, entonces se factoriza de la forma

Así,
es una raíz doble de la ecuación y esta se puede factorizar como

4 Las raíces de la ecuación son
y 
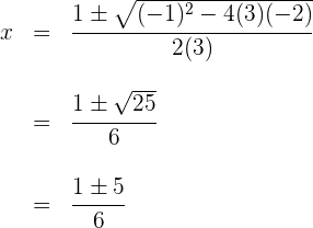
5


Este campo es obligatorio.

Este campo es obligatorio.

Este campo es obligatorio.
1 Aplicamos Ruffini para 

Como el residuo es cero, entonces
es una raíz de la ecuación y esta se puede factorizar como

2 Aplicamos nuevamente Ruffini para 

Como el residuo es cero, entonces
es una raíz de la ecuación y esta se puede factorizar como

3 Aplicamos la fórmula general cuadrática

Calculamos las raíces


4 Las raíces de la ecuación son
y 
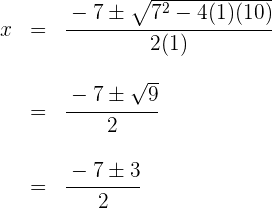
6


Este campo es obligatorio.

Este campo es obligatorio.

Este campo es obligatorio.

Este campo es obligatorio.
1 Aplicamos Ruffini para 

Como el residuo es cero, entonces
es una raíz de la ecuación y esta se puede factorizar como

2 Aplicamos nuevamente Ruffini para 

Como el residuo es cero, entonces
es una raíz de la ecuación y esta se puede factorizar como

3 Aplicamos la fórmula general cuadrática

Calculamos las raíces


4 Las raíces de la ecuación son
y 
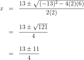
7


Este campo es obligatorio.

Este campo es obligatorio.

Este campo es obligatorio.

Este campo es obligatorio.
1Sacamos factor común:

De esta forma
es raíz de la ecuación.
2 Aplicamos Ruffini para 

Como el residuo es cero, entonces
es una raíz de la ecuación y esta se puede factorizar como

3 Aplicamos nuevamente Ruffini para 

Como el residuo es cero, entonces
es una raíz de la ecuación y esta se puede factorizar como

4 Aplicamos la fórmula general cuadrática

Calculamos las raíces


5 Las raíces de la ecuación son
y 
Si tienes dudas puedes consultar la teoría
Resumir con IA:

Apuntes es una plataforma dirigida al estudio y la práctica de las matemáticas a través de la teoría y ejercicios interactivos que ponemos a vuestra disposición. Esta información está disponible para todo aquel/aquella que quiera profundizar en el aprendizaje de esta ciencia. Será un placer ayudaros en caso de que tengáis dudas frente algún problema, sin embargo, no realizamos un ejercicio que nos presentéis de 0 sin que hayáis si quiera intentado resolverlo. Ánimo, todo esfuerzo tiene su recompensa.
Esta bien los ejercicios, pero complican demasiado con estos mismos y más encima, a ustedes le salen resultados distintos al mío o hacen cosas que no se entienden. A esta página le doy un 6 de 10. Por ejemplo, en el ejercicio 13, simplificó por 7 todo la operación y yo no lo simplifique. Entonces, no se si es opcional o no.
Hola agradecemos sus opiniones que nos ayudan a mejorar, en cuanto a tu duda, si factorizar 7 o no hacerlo es gusto de cada quien, como dijiste es opcional.
Habéis cometido un error en el 2 de irracionales habéis puesto un 6 y es un 5
Una disculpa por que se brinca un paso pues el ejercicio es √x-1=5 y falto que √x=5+1, y aparece de repente √x=6.
Buenas tardes. He detectado un posible error en el ejercicio 2 de irracionales: aparece un 6, pero el valor correcto debería ser 5. Gracias por el material y la atención.
Hola te agradecemos tu observación, si parece un posible error, pero no lo es pues √x-1=5 implica que √x=5+1 o √x=6, claro estos pasos no aparecen en el artículo, si tienes alguna duda te escuchamos.
Muy buenos ejercicios. Solamente una aclaración: en el problema 9 hay un error en la factorización del trinomio x2 – 28x + 169, los binomios serían: ( x – 21 )( x – 7 ) ; y no ( x – 21) ( x + 7 ). La ecuación tiene dos soluciones positivas, x = 21 y x = 21, pero la que da solución al problema es x = 21 por la condicionante «la edad que tenía hace 13 años»
Hola ya revise el ejercicio y la solución es (x-21)(x-7)=0, entonces los valores son x1=21, x=7, tal como lo indicas y no encontré el error que mencionas.