Resuelve los siguientes problemas:
Sabemos que dos ciudades
y
distan
entre sí. Un coche sale de
hacia
a una velocidad de
a las
de la mañana. A la misma hora sale de
hacia
un camión. Suponiendo que ambos circulan a velocidad constante y sabiendo que se cruzan a las doce menos cuarto, ¿sabrías decir a qué velocidad circulaba el camión?

Este campo es obligatorio.
1 Sabemos que se cruzan a las
. Como salen a las
, en total tardan
y
en cruzarse, es decir, 

2 Sabemos que el espacio recorrido por el primer coche más el espacio recorrido por el segundo es igual a 

3 Así, el camión circulaba a

Dos ciudades
y
distan
entre sí. Un coche parte de la ciudad
hacia la ciudad
con una velocidad de
, y al mismo tiempo de la ciudad
parte otro hacia la ciudad
con una velocidad de
. Hallar el tiempo que tardarán en encontrarse.

Este campo es obligatorio.
1 Sabemos que los autos salen al mismo tiempo de ambas ciudades, consideramos
el tiempo recorrido hasta el momento de cruzarse.

2 Sabemos que el espacio recorrido por el primer coche más el espacio recorrido por el segundo es igual a 
Así, ambos autos se cruzaran una hora después de iniciar su recorrido.
Dos puntos
y
están separados entres sí. Un ciclista parte de
hacia
con una velocidad de
, y al mismo tiempo de
parte otro hacia
con una velocidad de
. Si se cruzan después de 15 minutos, hallar la distancia entre los dos puntos.

Este campo es obligatorio.
1 Sabemos que los ciclistas salen al mismo tiempo de ambos puntos y que tardan
desde el inicio hasta el momento de cruzarse.

2 Sabemos que el espacio recorrido por el primer ciclista más el espacio recorrido por el segundo es igual a la distancia entre los dos puntos
Así, ambos puntos se encuentran a
uno del otro.
4A las
de la mañana Elena sale a
de una ciudad
con dirección a Madrid. A la misma hora sale Javier desde otra ciudad
que situada en la misma dirección que
y lo hace a una velocidad de
también con dirección a Madrid.
Sabiendo que la distancia en carretera entre
y
es de
, y suponiendo que los dos van a una velocidad constante todo el camino, contesta a las siguientes preguntas:
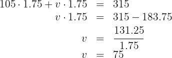
¿Qué tiempo tardarán en encontrarse Elena y Javier?
Tardarán

Este campo es obligatorio.
Sabemos que se encontrarán en un tiempo
. Como Javier lleva una ventaja de
, tenemos


Así, Elena y Javier tardarán en encontrarse
.
¿Qué hora será cuando se encuentren?
Serán las

Este campo es obligatorio.
Sabemos que salen a las
, entonces la hora a la que se encotrarán es
s
¿Qué distancia habrá recorrido cada uno de ellos en ese momento?
Elena habrá recorrido
y Javier 
Este campo es obligatorio.
La distancia que habrá recorrido Elena será 
La distancia que habrá recorrido Javier será 
5Dos ciudades
y
distan
entre sí. A las 10 de la mañana sale un coche de cada ciudad y los dos coches van en el mismo sentido.
El que sale de
circula a
, y el que sale de
va a
y suponiendo que los dos van a una velocidad constante todo el camino, contesta a las siguientes preguntas:
¿Qué tiempo tardarán en encontrarse?
Tardarán

Este campo es obligatorio.
Sabemos que se encontrarán en un tiempo
. Como el segundo coche lleva una ventaja de
, tenemos


Así, ambos coches tardarán en encontrarse
.
¿Qué hora será cuando se encuentren?
Serán las

Este campo es obligatorio.
Sabemos que salen a las
, entonces la hora a la que se encotrarán es
s
¿Qué distancia habrá recorrido cada uno de ellos en ese momento?
El coche que sale de
habrá recorrido
y el coche que sale de

Este campo es obligatorio.
La distancia que habrá recorrido el primer coche será 
La distancia que habrá recorrido el segundo coche será 
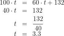
6Un ciclista parte de un punto
a una velocidad de
. Otro ciclista sale del mismo punto
minutos más tarde. ¿Cuál deberá ser la velocidad de este segundo ciclista si pretende alcanzar al primero en una hora y cuarto?

Este campo es obligatorio.
1 Llamamos
al tiempo que pedalea el primer ciclista y
al tiempo que pedalea el segundo, entonces


2 Si el segundo ciclista pretende alcanzar al primero en una hora y cuarto esto significa que el primer ciclista pedalea durante una hora y media. Entonces tenemos:
De donde, 
3 La distancia recorrida debe ser la misma por ambos ciclistas.
La velocidad del segundo ciclista debe ser de
.
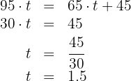
7Un coche sale de la ciudad
con velocidad de
. Una hora más tarde sale de la misma ciudad otro coche en persecución del primero con una velocidad de
. ¿A qué distancia se produce el encuentro.

Este campo es obligatorio.
1 Si el tiempo empleado por el primer coche es
, el del segundo que sale una hora más tarde será


2 Sabemos que la distancia recorrida por ambos coches es la misma

3 Sustituimos 
La distancia a la que se encuentran ambos coches es
.
Si tienes dudas puedes consultar la teoría

Apuntes es una plataforma dirigida al estudio y la práctica de las matemáticas a través de la teoría y ejercicios interactivos que ponemos a vuestra disposición. Esta información está disponible para todo aquel/aquella que quiera profundizar en el aprendizaje de esta ciencia. Será un placer ayudaros en caso de que tengáis dudas frente algún problema, sin embargo, no realizamos un ejercicio que nos presentéis de 0 sin que hayáis si quiera intentado resolverlo. Ánimo, todo esfuerzo tiene su recompensa.
Factorización de un trinomio 2do grado
SRS. SUPERPROF.- CIENCIAS MATEMÁTICAS, REQUIERE DIFERENTES METODOLOGÍAS EN BIEN DE LOS EDUCANDOS. EL ESFUERZOS QUE VOSOTRO BRINDAN OBVIAMENTE ES EN BIEN DE NUESTRAS FUTURAS GENERACIONES. INFINITAS GRACIAS POR VUESTRAS HONORABLES DEDICACIONES. EN VERDAD, INFINITAS GRACIAS. DIOS LES ILUMINE POR SIEMPRE. BENDICIONES. AMEN.
2x+y-z=-1
X-2y+z=5
3x-y-2z=0
Me encuentro realizando los ejercicios de la pagina con mi hija a la cual le estoy explicando los metodos de resolucion geometricos y me encuentro con que dos de los ejercicios se los han calificado mal, las respuestas que tenemos son las misma ella y yo pues siguio los metodos paso a paso, pero nos encontramos con que el primer ejercicio califica la respuesta al reves y el segundo se la califica mal por no redondear el decimal… el segundo punto podria ser mas comprensible, pero el primero trajo a mi niña trantando de entender por que estaba mal durante 15 minutos hasta que vio que se le evaluava con los resultados cambiados, si el orden de los resultados importa para calificarlos, sean mas claros con donde los quieres pues el problema dice que el largo de un area es el triple del ancho del otro lado, en el largo pusimos la respuesta que es 3X = 131.25 y en ancho pusimos x que es 43.75, pues la pagina lo reviso como erroneo punoniendo que las cajas o las etiquetas del archivo html estan mal asignadas
Una disculpa ya se corrigió.
Hola con todo gusto te ayudamos, solo menciónanos algunos de los ejercicios que no entiendas y te podremos ayudar, puede ser uno de los ejercicios de los artículos o alguno que tu tengas.
Hola, con gusto te explicamos, podrías señalar cuales son las ecuaciones que no entiendes como se resolvieron y será un placer ayudarte.