Escoge la opción correcta:
La ecuación
tiene...
Selecciona una respuesta.
Resolvemos empleando la fórmula para encontrar las raíces de la ecuación de segundo grado

Las raíces son


La ecuación tiene dos soluciones simples que son
y 
La ecuación
tiene...
Selecciona una respuesta.
Resolvemos empleando la fórmula para encontrar las raíces de la ecuación de segundo grado

La ecuación tiene una solución doble que es: 
La ecuación
tiene...
Selecciona una respuesta.
Resolvemos empleando la fórmula para encontrar las raíces de la ecuación de segundo grado

La ecuación tiene una solución doble que es: 
La ecuación
tiene...
Selecciona una respuesta.
Resolvemos empleando la fórmula para encontrar las raíces de la ecuación de segundo grado

La ecuación no tiene soluciones reales, ya que el radicando es negativo.
La ecuación
tiene...
Selecciona una respuesta.
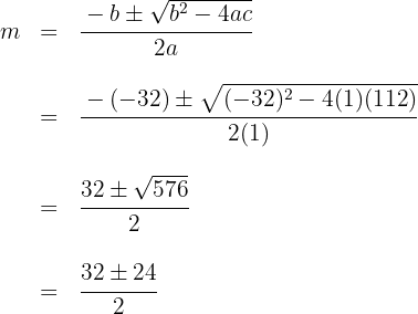
Resolvemos empleando la fórmula para encontrar las raíces de la ecuación de segundo grado

Las raíces son


La ecuación tiene dos soluciones simples que son
y
.
La ecuación
tiene...
Selecciona una respuesta.
Resolvemos empleando la fórmula para encontrar las raíces de la ecuación de segundo grado

La ecuación no tiene soluciones reales, ya que el radicando es negativo.
Resuelve las siguientes cuestiones:
Calcula el valor de
para que la ecuación
tenga un única solución.
;
Este campo es obligatorio.
Para que la ecuación
tenga una raíz doble se debe verificar que el discriminante de la misma sea nulo.
El discriminante es 
Igualamos el discriminante a cero y despejamos 


Así, cuando
se tiene una raiz doble.
2
Sabemos que para
el polinomio
tiene un raíz doble. Calcula otro valor de
para que dicho polinomio tenga una raíz doble.
m =
Este campo es obligatorio.
Que el polinomio
tenga una raíz doble quiere decir que la ecuación
tiene una única solución.
Para que la ecuación tenga una única solución se debe verificar que el discriminante sea igual a 0.

Desarrollando se obtiene la ecuación cuadrática 
Resolvemos empleando la fórmula para encontrar las raíces de la ecuación de segundo grado

Las raíces son


Por tanto, para que el polinomio dado tenga una raíz doble
deberá ser
o 
Para el valor
y para el valor que hayas obtenido en el apartado anterior calcula la solución de la ecuación 
/
Este campo es obligatorio.
Para
, la ecuación
se transforma en: 

/
Este campo es obligatorio.
Para
, la ecuación
se transforma en: 

Si tienes dudas puedes consultar la teoría

Apuntes es una plataforma dirigida al estudio y la práctica de las matemáticas a través de la teoría y ejercicios interactivos que ponemos a vuestra disposición. Esta información está disponible para todo aquel/aquella que quiera profundizar en el aprendizaje de esta ciencia. Será un placer ayudaros en caso de que tengáis dudas frente algún problema, sin embargo, no realizamos un ejercicio que nos presentéis de 0 sin que hayáis si quiera intentado resolverlo. Ánimo, todo esfuerzo tiene su recompensa.
Factorización de un trinomio 2do grado
SRS. SUPERPROF.- CIENCIAS MATEMÁTICAS, REQUIERE DIFERENTES METODOLOGÍAS EN BIEN DE LOS EDUCANDOS. EL ESFUERZOS QUE VOSOTRO BRINDAN OBVIAMENTE ES EN BIEN DE NUESTRAS FUTURAS GENERACIONES. INFINITAS GRACIAS POR VUESTRAS HONORABLES DEDICACIONES. EN VERDAD, INFINITAS GRACIAS. DIOS LES ILUMINE POR SIEMPRE. BENDICIONES. AMEN.
2x+y-z=-1
X-2y+z=5
3x-y-2z=0
Me encuentro realizando los ejercicios de la pagina con mi hija a la cual le estoy explicando los metodos de resolucion geometricos y me encuentro con que dos de los ejercicios se los han calificado mal, las respuestas que tenemos son las misma ella y yo pues siguio los metodos paso a paso, pero nos encontramos con que el primer ejercicio califica la respuesta al reves y el segundo se la califica mal por no redondear el decimal… el segundo punto podria ser mas comprensible, pero el primero trajo a mi niña trantando de entender por que estaba mal durante 15 minutos hasta que vio que se le evaluava con los resultados cambiados, si el orden de los resultados importa para calificarlos, sean mas claros con donde los quieres pues el problema dice que el largo de un area es el triple del ancho del otro lado, en el largo pusimos la respuesta que es 3X = 131.25 y en ancho pusimos x que es 43.75, pues la pagina lo reviso como erroneo punoniendo que las cajas o las etiquetas del archivo html estan mal asignadas
Una disculpa ya se corrigió.
Hola con todo gusto te ayudamos, solo menciónanos algunos de los ejercicios que no entiendas y te podremos ayudar, puede ser uno de los ejercicios de los artículos o alguno que tu tengas.
Hola, con gusto te explicamos, podrías señalar cuales son las ecuaciones que no entiendes como se resolvieron y será un placer ayudarte.