Uno de los conceptos más sencillos y útiles de entender en el cálculo es aprender a calcular las ecuaciones de primer y segundo grado. Estas son las dos principales ecuaciones que forman la base de todas las demás ecuaciones que involucran números complejos, como la ecuación cúbica, cuadrática, la hipérbola y la parábola. Aunque puede ser bastante difícil para un estudiante entender estas ecuaciones, es importante recordar que forman la base de casi todos los cursos avanzados de matemáticas en el cálculo. Por lo tanto, es importante dominar las técnicas para resolver problemas en esta área.
Una ecuación de primer grado es una ecuación cuya solución viene dada por Primero, el producto de sus variables (en este caso, x), y el valor medio de sus fórmulas integrales, como la matriz integral. Una ecuación de segundo grado es lo contrario de su homóloga de primer grado. Así, una solución de una ecuación de primer grado será siempre la suma de sus variables, mientras que las soluciones de una ecuación de segundo grado serán siempre iguales a los valores de primer grado de sus correspondientes variables. Además, las soluciones de las ecuaciones de tercer grado también son iguales a los valores de sus correspondientes variables, pero esto ocurre raramente.
En general para resolver una ecuación de primer grado debemos seguir los siguientes pasos:
1 Quitar paréntesis.
2 Quitar denominadores.
3 Agrupar los términos en
en un miembro y los términos independientes en el otro.
4 Reducir los términos semejantes.
5 Despejar la incógnita.
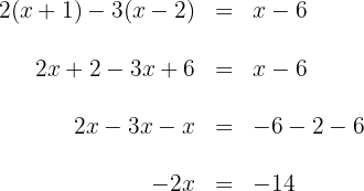
Ejemplo:
Resolver 
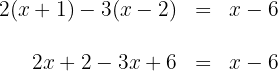
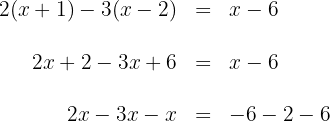
1 Quitamos paréntesis.
2 Agrupamos los términos en
en un miembro y los términos independientes en el otro.
3 Reducimos los términos semejantes.
4 Despejamos la incógnita.
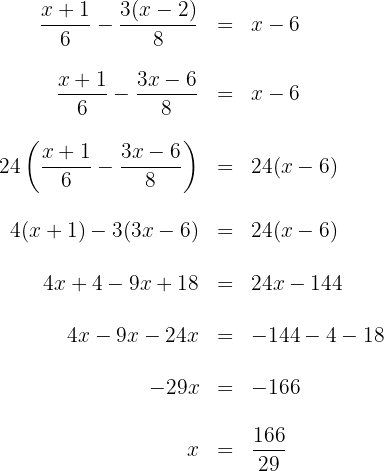
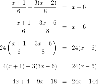
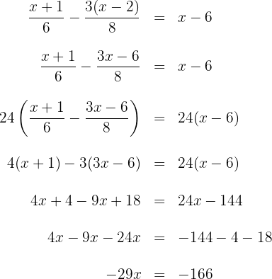
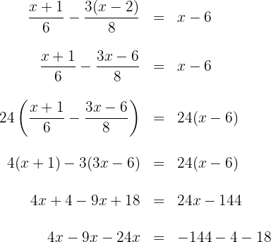
Ejemplo:
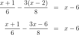
Resolver 
1 Quitamos paréntesis.
2 Quitamos los denominadores multiplicando ambos miembros por el mínimo común múltiplo de los denominadores 
3 Agrupamos los términos en
en un miembro y los términos independientes en el otro.
4 Reducimos los términos semejantes.
5 Despejamos la incógnita.

Resumir con IA:

Apuntes es una plataforma dirigida al estudio y la práctica de las matemáticas a través de la teoría y ejercicios interactivos que ponemos a vuestra disposición. Esta información está disponible para todo aquel/aquella que quiera profundizar en el aprendizaje de esta ciencia. Será un placer ayudaros en caso de que tengáis dudas frente algún problema, sin embargo, no realizamos un ejercicio que nos presentéis de 0 sin que hayáis si quiera intentado resolverlo. Ánimo, todo esfuerzo tiene su recompensa.
Esta bien los ejercicios, pero complican demasiado con estos mismos y más encima, a ustedes le salen resultados distintos al mío o hacen cosas que no se entienden. A esta página le doy un 6 de 10. Por ejemplo, en el ejercicio 13, simplificó por 7 todo la operación y yo no lo simplifique. Entonces, no se si es opcional o no.
Hola agradecemos sus opiniones que nos ayudan a mejorar, en cuanto a tu duda, si factorizar 7 o no hacerlo es gusto de cada quien, como dijiste es opcional.
Habéis cometido un error en el 2 de irracionales habéis puesto un 6 y es un 5
Una disculpa por que se brinca un paso pues el ejercicio es √x-1=5 y falto que √x=5+1, y aparece de repente √x=6.
Buenas tardes. He detectado un posible error en el ejercicio 2 de irracionales: aparece un 6, pero el valor correcto debería ser 5. Gracias por el material y la atención.
Hola te agradecemos tu observación, si parece un posible error, pero no lo es pues √x-1=5 implica que √x=5+1 o √x=6, claro estos pasos no aparecen en el artículo, si tienes alguna duda te escuchamos.
Muy buenos ejercicios. Solamente una aclaración: en el problema 9 hay un error en la factorización del trinomio x2 – 28x + 169, los binomios serían: ( x – 21 )( x – 7 ) ; y no ( x – 21) ( x + 7 ). La ecuación tiene dos soluciones positivas, x = 21 y x = 21, pero la que da solución al problema es x = 21 por la condicionante «la edad que tenía hace 13 años»
Hola ya revise el ejercicio y la solución es (x-21)(x-7)=0, entonces los valores son x1=21, x=7, tal como lo indicas y no encontré el error que mencionas.