Resuelve las siguientes ecuaciones irracionales y escoge la opción correcta:
La ecuación
tiene ...
Selecciona una respuesta.
1 Aislamos el radical

2 Elevamos ambos lados al cuadrado

3 Obtenemos la ecuación

4 Factorizamos la ecuación

5 Obtenemos las raíces 
6 Sustituimos las raíces en la ecuación original y observamos que
si satisface la ecuación, mientras que
no la satisface.
7 Así, concluimos que
tiene una solución la cual es
.
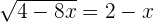
La ecuación
tiene ...
Selecciona una respuesta.
1 Aislamos el radical

2 Elevamos ambos lados al cuadrado

3 Obtenemos la ecuación

4 Factorizamos la ecuación

5 Obtenemos las raíces 
6 Sustituimos las raíces en la ecuación original y observamos que
si satisface la ecuación, mientras que
no la satisface.
7 Así, concluimos que
tiene una solución la cual es
.
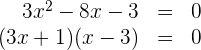
La ecuación
tiene ...
Selecciona una respuesta.
1 En este caso ya tenemos aislado el radical, por lo que elevamos ambos lados al cuadrado y se obtiene

2 Aislamos los radicales

3 Elevamos ambos lados al cuadrado

4 Obtenemos la ecuación

5 Factorizamos la ecuación

6 Obtenemos las raíces 
7 Sustituimos las raíces en la ecuación original y observamos que
y
no satisfacen la ecuación original.
8 Así, concluimos que
no tiene ninguna solución real.
c
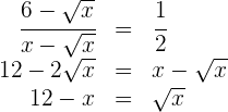
La ecuación
tiene ...
Selecciona una respuesta.
1 Aislamos el radical

2 Elevamos ambos lados al cuadrado

3 Obtenemos la ecuación

4 Factorizamos la ecuación

5 Obtenemos las raíces 
6 Sustituimos las raíces en la ecuación original y observamos que
y
si satisfacen la ecuación.
7 Así, concluimos que
tiene dos soluciones las cuales son
y
.
Si tienes dudas puedes consultar la teoría

Apuntes es una plataforma dirigida al estudio y la práctica de las matemáticas a través de la teoría y ejercicios interactivos que ponemos a vuestra disposición. Esta información está disponible para todo aquel/aquella que quiera profundizar en el aprendizaje de esta ciencia. Será un placer ayudaros en caso de que tengáis dudas frente algún problema, sin embargo, no realizamos un ejercicio que nos presentéis de 0 sin que hayáis si quiera intentado resolverlo. Ánimo, todo esfuerzo tiene su recompensa.
Factorización de un trinomio 2do grado
SRS. SUPERPROF.- CIENCIAS MATEMÁTICAS, REQUIERE DIFERENTES METODOLOGÍAS EN BIEN DE LOS EDUCANDOS. EL ESFUERZOS QUE VOSOTRO BRINDAN OBVIAMENTE ES EN BIEN DE NUESTRAS FUTURAS GENERACIONES. INFINITAS GRACIAS POR VUESTRAS HONORABLES DEDICACIONES. EN VERDAD, INFINITAS GRACIAS. DIOS LES ILUMINE POR SIEMPRE. BENDICIONES. AMEN.
2x+y-z=-1
X-2y+z=5
3x-y-2z=0
Me encuentro realizando los ejercicios de la pagina con mi hija a la cual le estoy explicando los metodos de resolucion geometricos y me encuentro con que dos de los ejercicios se los han calificado mal, las respuestas que tenemos son las misma ella y yo pues siguio los metodos paso a paso, pero nos encontramos con que el primer ejercicio califica la respuesta al reves y el segundo se la califica mal por no redondear el decimal… el segundo punto podria ser mas comprensible, pero el primero trajo a mi niña trantando de entender por que estaba mal durante 15 minutos hasta que vio que se le evaluava con los resultados cambiados, si el orden de los resultados importa para calificarlos, sean mas claros con donde los quieres pues el problema dice que el largo de un area es el triple del ancho del otro lado, en el largo pusimos la respuesta que es 3X = 131.25 y en ancho pusimos x que es 43.75, pues la pagina lo reviso como erroneo punoniendo que las cajas o las etiquetas del archivo html estan mal asignadas
Una disculpa ya se corrigió.
Y con a>1?
Hola podrías hacernos el favor de dar mas información como el número de ejercicio para poder resolver tu duda.
2x+y-z=-1
X-2y+z=5
3x-y-2z=0
Ecuaciones metodo Guss jordan
Hola soy David quisiera que me expliquen como se realizan las ecuaciones de 1er grado