Problemas de grifos sin desagüe
Un primer grifo tarda
horas en llenar un depósito, entonces en una hora el primer grifo llena
del depósito.
Un segundo grifo tarda
horas en llenar un depósito, entonces en una hora el segundo grifo llena
del depósito.
Si
es el total de horas para llenar el depósito, entonces en una hora los dos grifos juntos habrán llenado:

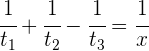
1 Un grifo tarda en llenar un depósito tres horas y otro grifo tarda en llenarlo cuatro horas. ¿Cuánto tiempo tardarán en llenar los dos grifos juntos el depósito?
1 Tenemos que el primer grifo tarda
horas en llenar un depósito, entonces en una hora el primer grifo llena
del depósito
2 Tenemos que el segundo grifo tarda
horas en llenar un depósito, entonces en una hora el segundo grifo llena
del depósito
3 Si
es el total de horas para llenar el depósito, entonces en una hora los dos grifos juntos habrán llenado:

4 Resolvemos la ecuación racional

Luego con los dos grifos juntos, el depósito tarda en llenarse
horas.
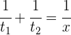
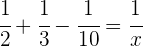
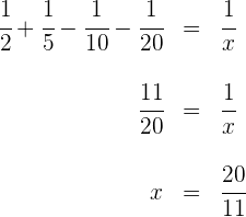
2 Un grifo tarda en llenar un depósito dos horas y otro grifo tarda en llenarlo tres horas. ¿Cuánto tiempo tardarán en llenar los dos grifos juntos el depósito?
1 Tenemos que el primer grifo tarda
horas en llenar un depósito, entonces en una hora el primer grifo llena
del depósito
2 Tenemos que el segundo grifo tarda
horas en llenar un depósito, entonces en una hora el segundo grifo llena
del depósito
3 Si
es el total de horas para llenar el depósito, entonces en una hora los dos grifos juntos habrán llenado:

4 Resolvemos la ecuación racional

Luego con los dos grifos juntos, el depósito tarda en llenarse
horas que es lo mismo que una hora con doce minutos.
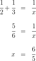
3 Para llenar un depósito por si solo, el segundo grifo necesita el triple del tiempo que el primer grifo. Si en una hora ambos llenan cuatro veces el depósito, ¿cuánto tiempo tardarán en llenar el depósito cada uno de los grifos?
1 Tenemos que el primer grifo tarda
horas en llenar el depósito, entonces en una hora el primer grifo llena
del depósito
2 Tenemos que el segundo grifo tarda
horas en llenar un depósito, entonces en una hora el segundo grifo llena
del depósito
3 Si ambos grifos en una hora llenan cuatro veces el depósito, entonces

4 Como el segundo grifo necesita el triple del tiempo que el primer grifo, se tiene

Luego tenemos

Luego el primer grifo tarda
de hora en llenar el depósito o 20 minutos y el segundo grifo tarda 1 hora en llenar el depósito.
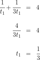
4 Un grifo tarda en llenar un depósito dos horas, un segundo grifo tarda en llenarlo tres horas y un tercer grifo tarda en llenarlo seis horas. ¿Cuánto tiempo tardarán en llenar los tres grifos juntos el depósito?
1 Tenemos que el primer grifo tarda
horas en llenar un depósito, entonces en una hora el primer grifo llena
del depósito
2 Tenemos que el segundo grifo tarda
horas en llenar un depósito, entonces en una hora el segundo grifo llena
del depósito
3 Tenemos que el tercer grifo tarda
horas en llenar un depósito, entonces en una hora el tercer grifo llena
del depósito
4 Si
es el total de horas para llenar el depósito, entonces en una hora los tres grifos juntos habrán llenado:

5 Resolvemos la ecuación racional

Luego con los tres grifos juntos, el depósito tarda en llenarse
hora.
Problemas de grifos con desagüe
Un primer grifo tarda
horas en llenar un depósito, entonces en una hora el primer grifo llena
del depósito.
Un segundo grifo tarda
horas en llenar un depósito, entonces en una hora el segundo grifo llena
del depósito.
Un desagüe tarda
horas en vaciar un depósito, entonces en una hora el desagüe vacía
del depósito.
Si
es el total de horas para llenar el depósito, entonces en una hora se habrá llenado:

1 Un grifo tarda en llenar un depósito tres horas y otro grifo tarda en llenarlo cuatro horas. Si un desagüe tarda seis horas en vaciar el depósito. ¿Cuánto tiempo tardarán en llenar los dos grifos juntos el depósito, si el desagüe se encuentra abierto?
1 Tenemos que el primer grifo tarda
horas en llenar un depósito, entonces en una hora el primer grifo llena
del depósito
2 Tenemos que el segundo grifo tarda
horas en llenar un depósito, entonces en una hora el segundo grifo llena
del depósito
3 Tenemos que el desagüe tarda
horas en vaciar un depósito, entonces en una hora el desagüe vacía
del depósito
4 Si
es el total de horas para llenar el depósito, entonces en una hora se habrá llenado:

5 Resolvemos la ecuación racional

Luego con los dos grifos juntos y el desagüe abierto, el depósito tarda en llenarse
horas.
2 Un grifo tarda en llenar un depósito dos horas y otro grifo tarda en llenarlo tres horas. Si un desagüe tarda diez horas en vaciar el depósito. ¿Cuánto tiempo tardarán en llenar los dos grifos juntos el depósito, si el desagüe se encuentra abierto?
1 Tenemos que el primer grifo tarda
horas en llenar un depósito, entonces en una hora el primer grifo llena
del depósito
2 Tenemos que el segundo grifo tarda
horas en llenar un depósito, entonces en una hora el segundo grifo llena
del depósito
3 Tenemos que el desagüe tarda
horas en vaciar el depósito, entonces en una hora el desagüe vacía
del depósito
4 Si
es el total de horas para llenar el depósito, entonces en una hora se habrá llenado:

5 Resolvemos la ecuación racional

Luego con los dos grifos juntos y el desagüe abierto, el depósito tarda en llenarse
horas que es aproximadamente igual a 1 hora y 21 minutos.
3 Un grifo tarda en llenar un depósito dos horas y otro grifo tarda en llenarlo cinco horas. Si un desagüe tarda diez horas y un segundo desagüe tarda veinte horas en vaciar el depósito respectivamente. ¿Cuánto tiempo tardarán en llenar los dos grifos juntos el depósito, si ambos desagües se encuentran abiertos?
1 Tenemos que el primer grifo tarda
horas en llenar un depósito, entonces en una hora el primer grifo llena
del depósito
2 Tenemos que el segundo grifo tarda
horas en llenar un depósito, entonces en una hora el segundo grifo llena
del depósito
3 Tenemos que el desagüe tarda
horas en vaciar el depósito, entonces en una hora el desagüe vacía
del depósito
4 Tenemos que el segundo desagüe tarda
horas en vaciar el depósito, entonces en una hora el desagüe vacía
del depósito
5 Si
es el total de horas para llenar el depósito, entonces en una hora se habrá llenado:

6 Resolvemos la ecuación racional

Luego con los dos grifos juntos y ambos desagües abiertos, el depósito tarda en llenarse
horas que es aproximadamente igual a 1 hora y 49 minutos.









Apuntes es una plataforma dirigida al estudio y la práctica de las matemáticas a través de la teoría y ejercicios interactivos que ponemos a vuestra disposición. Esta información está disponible para todo aquel/aquella que quiera profundizar en el aprendizaje de esta ciencia. Será un placer ayudaros en caso de que tengáis dudas frente algún problema, sin embargo, no realizamos un ejercicio que nos presentéis de 0 sin que hayáis si quiera intentado resolverlo. Ánimo, todo esfuerzo tiene su recompensa.
SRS. SUPERPROF.- CIENCIAS MATEMÁTICAS, REQUIERE DIFERENTES METODOLOGÍAS EN BIEN DE LOS EDUCANDOS. EL ESFUERZOS QUE VOSOTRO BRINDAN OBVIAMENTE ES EN BIEN DE NUESTRAS FUTURAS GENERACIONES. INFINITAS GRACIAS POR VUESTRAS HONORABLES DEDICACIONES. EN VERDAD, INFINITAS GRACIAS. DIOS LES ILUMINE POR SIEMPRE. BENDICIONES. AMEN.
2x+y-z=-1
X-2y+z=5
3x-y-2z=0
Me encuentro realizando los ejercicios de la pagina con mi hija a la cual le estoy explicando los metodos de resolucion geometricos y me encuentro con que dos de los ejercicios se los han calificado mal, las respuestas que tenemos son las misma ella y yo pues siguio los metodos paso a paso, pero nos encontramos con que el primer ejercicio califica la respuesta al reves y el segundo se la califica mal por no redondear el decimal… el segundo punto podria ser mas comprensible, pero el primero trajo a mi niña trantando de entender por que estaba mal durante 15 minutos hasta que vio que se le evaluava con los resultados cambiados, si el orden de los resultados importa para calificarlos, sean mas claros con donde los quieres pues el problema dice que el largo de un area es el triple del ancho del otro lado, en el largo pusimos la respuesta que es 3X = 131.25 y en ancho pusimos x que es 43.75, pues la pagina lo reviso como erroneo punoniendo que las cajas o las etiquetas del archivo html estan mal asignadas
Una disculpa ya se corrigió.
Y con a>1?
Hola podrías hacernos el favor de dar mas información como el número de ejercicio para poder resolver tu duda.
2x+y-z=-1
X-2y+z=5
3x-y-2z=0
Ecuaciones metodo Guss jordan
no entiendo deberían explicar un poco mas detallado
Hola, entendemos tu punto, pero para lograrlo podrías mencionar mas específicamente donde no entendiste y con gusto te ayudamos.