Capítulos
¿Qué es una ecuación de grado superior a dos?
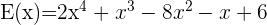
Una ecuación de grado superior a dos es una ecuación escrita de la forma siguiente:
donde 
Este tipo de ecuacion se puede descomponer en factores de primer y segundo grado, entonces basta igualar a cero cada uno de los factores y resolver las ecuaciones de primer grado y de segundo grado resultantes.
Pasos para resolver una ecuación de grado superior a dos
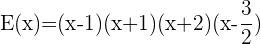
Para mejor entender los pasos de resolución, vamos a tomar el siguiente ejemplo:
Utilizamos la regla de Ruffini y la formula general para ecuaciones de segundo grado con el objetivo de reducir el orden de la ecuación.
I - Factorizamos la ecuación de cuarto grado
Para factorizar la ecuación
1 Buscamos los divisores del término independiente.
El término independiente es el
, ya que el termino independiente de un polinomio es aquel que no está multiplicado por
.
Los divisores de
son:
.
Esto lo hacemos con el fin de encontrar un valor que resuelva la ecuación
, y de este modo encontrar una raíz de la ecuación para que nos sea más fácil factorizarlo. Una vez encontrados los divisores del término independiente, la siguiente etapa es:
2 Evaluamos el polinomio en los divisores del termino independiente.
Si 
, es entonces una raíz de
.
Como hemos encontrado una raíz, sabemos que el termino
divide a
.
3 Usamos la regla de Ruffini.
La regla de Ruffini nos facilita el calculo de la división de
entre
.
Tomando los términos de
, la raíz encontrada
y colocándolos como indica la regla de Ruffini tenemos:
Esto implica que la división de
entre la raíz
da como resultado la ecuación
.
Por lo que tenemos que
.
II - Factorizamos la ecuación de tercer grado
Para factorizar la ecuación
obtenida en el paso anterior, realizaremos un procedimiento similar.
1Revisamos si el número
resulta ser una raíz repetida, es decir que
también sea una solución para la ecuación
, por lo que evaluando nos queda:
Entendemos que
no es una raíz repetida.
2Revisamos si el resto de los divisores del termino independiente de la ecuación original
son raíces de
.
Notamos que si, con
entonces:
Por lo que
, es una raíz de
.
Es decir que
divide a
.
3Usamos la regla de Ruffini para realizar la división de
entre
.
Tomamos la raíz que encontramos en este paso
y los coeficientes de
, para ordenarlos de la siguiente manera y obtener:
Lo que implica que el resultado de la división es la expresión
.
Es decir que
.
Por lo que a su vez tenemos que:
.
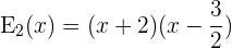
III - Factorizamos la ecuación de segundo grado
Este paso es bastante simple ya que solo tenemos que encontrar las raíces del polinomio de grado
.
Podemoss calcular con facilidad estas raices sando la formula general para ecuaciones de segundo grado:
Entonces las raíces de
son:
.
Esto implica que
.
Por lo que llegamos a la conclusión de que:
.
Soluciones

Factorización










Apuntes es una plataforma dirigida al estudio y la práctica de las matemáticas a través de la teoría y ejercicios interactivos que ponemos a vuestra disposición. Esta información está disponible para todo aquel/aquella que quiera profundizar en el aprendizaje de esta ciencia. Será un placer ayudaros en caso de que tengáis dudas frente algún problema, sin embargo, no realizamos un ejercicio que nos presentéis de 0 sin que hayáis si quiera intentado resolverlo. Ánimo, todo esfuerzo tiene su recompensa.
Factorización de un trinomio 2do grado
SRS. SUPERPROF.- CIENCIAS MATEMÁTICAS, REQUIERE DIFERENTES METODOLOGÍAS EN BIEN DE LOS EDUCANDOS. EL ESFUERZOS QUE VOSOTRO BRINDAN OBVIAMENTE ES EN BIEN DE NUESTRAS FUTURAS GENERACIONES. INFINITAS GRACIAS POR VUESTRAS HONORABLES DEDICACIONES. EN VERDAD, INFINITAS GRACIAS. DIOS LES ILUMINE POR SIEMPRE. BENDICIONES. AMEN.
2x+y-z=-1
X-2y+z=5
3x-y-2z=0
Me encuentro realizando los ejercicios de la pagina con mi hija a la cual le estoy explicando los metodos de resolucion geometricos y me encuentro con que dos de los ejercicios se los han calificado mal, las respuestas que tenemos son las misma ella y yo pues siguio los metodos paso a paso, pero nos encontramos con que el primer ejercicio califica la respuesta al reves y el segundo se la califica mal por no redondear el decimal… el segundo punto podria ser mas comprensible, pero el primero trajo a mi niña trantando de entender por que estaba mal durante 15 minutos hasta que vio que se le evaluava con los resultados cambiados, si el orden de los resultados importa para calificarlos, sean mas claros con donde los quieres pues el problema dice que el largo de un area es el triple del ancho del otro lado, en el largo pusimos la respuesta que es 3X = 131.25 y en ancho pusimos x que es 43.75, pues la pagina lo reviso como erroneo punoniendo que las cajas o las etiquetas del archivo html estan mal asignadas
Una disculpa ya se corrigió.
Hola con todo gusto te ayudamos, solo menciónanos algunos de los ejercicios que no entiendas y te podremos ayudar, puede ser uno de los ejercicios de los artículos o alguno que tu tengas.
Hola, con gusto te explicamos, podrías señalar cuales son las ecuaciones que no entiendes como se resolvieron y será un placer ayudarte.