Las ecuaciones racionales son ecuaciones en las que aparecen fracciones polinómicas.
Resolver ecuaciones racionales
Para resolver ecuaciones fraccionarias o racionales se multiplican ambos miembros de la ecuación por el mínimo común múltiplo de los denominadores.
Debemos comprobar las soluciones, para rechazar posibles soluciones extrañas provenientes de la ecuación transformada (la resultante de multiplicar por el mínimo común múltiplo), pero que no lo son de la ecuación original.
Ejemplo de resolución de ecuaciones racionales
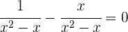
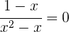
1 
Reducimos a común denominador, para ello calculamos el m.c.m. de los denominadores:

Dividimos el m.c.m. entre cada denominador y el resultado lo multiplicamos por el numerador correspondiente


Pasamos el denominador multiplicando por lo que nos queda:

Despejando la variable 

Comprobamos la solución

La ecuación no tiene solución para
porque se anulan los denominadores, no existe una fracción con denominador cero
2 
Calculamos el mcm de los denominadores:

Dividimos el m.c.m. entre cada denominador y el resultado lo multiplicamos por el numerador correspondiente




Resolvemos la ecuación de segundo grado resultante



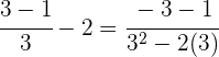
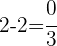
Comprobamos las soluciones:
Para 


sí es solución de la ecuación.
Para 


sí es solución de la ecuación.









Apuntes es una plataforma dirigida al estudio y la práctica de las matemáticas a través de la teoría y ejercicios interactivos que ponemos a vuestra disposición. Esta información está disponible para todo aquel/aquella que quiera profundizar en el aprendizaje de esta ciencia. Será un placer ayudaros en caso de que tengáis dudas frente algún problema, sin embargo, no realizamos un ejercicio que nos presentéis de 0 sin que hayáis si quiera intentado resolverlo. Ánimo, todo esfuerzo tiene su recompensa.
Factorización de un trinomio 2do grado
SRS. SUPERPROF.- CIENCIAS MATEMÁTICAS, REQUIERE DIFERENTES METODOLOGÍAS EN BIEN DE LOS EDUCANDOS. EL ESFUERZOS QUE VOSOTRO BRINDAN OBVIAMENTE ES EN BIEN DE NUESTRAS FUTURAS GENERACIONES. INFINITAS GRACIAS POR VUESTRAS HONORABLES DEDICACIONES. EN VERDAD, INFINITAS GRACIAS. DIOS LES ILUMINE POR SIEMPRE. BENDICIONES. AMEN.
2x+y-z=-1
X-2y+z=5
3x-y-2z=0
Me encuentro realizando los ejercicios de la pagina con mi hija a la cual le estoy explicando los metodos de resolucion geometricos y me encuentro con que dos de los ejercicios se los han calificado mal, las respuestas que tenemos son las misma ella y yo pues siguio los metodos paso a paso, pero nos encontramos con que el primer ejercicio califica la respuesta al reves y el segundo se la califica mal por no redondear el decimal… el segundo punto podria ser mas comprensible, pero el primero trajo a mi niña trantando de entender por que estaba mal durante 15 minutos hasta que vio que se le evaluava con los resultados cambiados, si el orden de los resultados importa para calificarlos, sean mas claros con donde los quieres pues el problema dice que el largo de un area es el triple del ancho del otro lado, en el largo pusimos la respuesta que es 3X = 131.25 y en ancho pusimos x que es 43.75, pues la pagina lo reviso como erroneo punoniendo que las cajas o las etiquetas del archivo html estan mal asignadas
Una disculpa ya se corrigió.
Hola con todo gusto te ayudamos, solo menciónanos algunos de los ejercicios que no entiendas y te podremos ayudar, puede ser uno de los ejercicios de los artículos o alguno que tu tengas.
Hola, con gusto te explicamos, podrías señalar cuales son las ecuaciones que no entiendes como se resolvieron y será un placer ayudarte.