Resuelve los siguientes sistemas de ecuaciones no lineales:
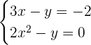
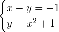
1
,

Este campo es obligatorio.

Este campo es obligatorio.

Este campo es obligatorio.
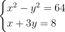
Operamos para dar el sistema lo más simplificado posible:

Despejamos
de la segunda ecuación:

Sustituímos en la primera:







Sustituyendo cada valor de
obtenemos los valores de
:


Los posibles pares de soluciones son:


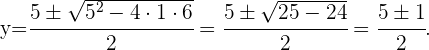
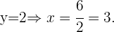
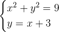
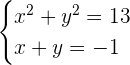
2


Este campo es obligatorio.

Este campo es obligatorio.


Este campo es obligatorio.
Despejamos
de la segunda ecuación:

Sustituímos en la primera:

Realizamos las operaciones necesarias:




Resolvemos la ecuación de segundo grado resultante:

Entonces las soluciones para
son
y 
Para cada valor de
obtenemos un valor de
:


Los posibles pares de soluciones son:

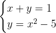
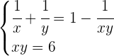
3


Este campo es obligatorio.

Este campo es obligatorio.


Este campo es obligatorio.
Despejamos
de la primera ecuación:

Sustituímos en la segunda:



Las soluciones para
son

Ahora resolvemos para
y obtenemos lo siguiente, primero para 

y para
, obtenemos

Asi las soluciones son

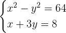
4



Este campo es obligatorio.

Este campo es obligatorio.

Este campo es obligatorio.
Reemplazamos la segunda ecuación en la primera




Entonces las soluciones para
son

Ahora solucionamos para
, primero para 

Y para 

Finalmente las soluciones son

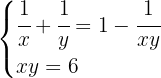
5


Este campo es obligatorio.

Este campo es obligatorio.


Este campo es obligatorio.
Despejamos
de la segunda ecuación:

Sustituímos en la primera:






Por lo tanto las soluciones para
estan dadas por

Ahora resolvemos para
, primero usando 

Ahora para 

Finalmente las soluciones son

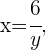
6


Este campo es obligatorio.

Este campo es obligatorio.


Este campo es obligatorio.
Primero despejamos
de la primera ecuación

Esto lo reemplazamos en la segunda ecuación




Así que las soluciones para
son

Ahora buscamos las soluciones para
, empezando con 

Y para
obtenemos

Finalmente las soluciones son

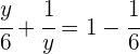
7


Este campo es obligatorio.

Este campo es obligatorio.


Este campo es obligatorio.
Primero despejamos
de la primera ecuación y obtenemos

Lo que sigue es reemplazar en la segunda ecuación


Ahora resolvemos la ecuación de segundo orden


Por lo tanto las soluciones para
son

Resolvemos para
, primero con 

Para
se obtiene

Así que las soluciones del sistema son

Si tienes dudas puedes consultar la teoría

Apuntes es una plataforma dirigida al estudio y la práctica de las matemáticas a través de la teoría y ejercicios interactivos que ponemos a vuestra disposición. Esta información está disponible para todo aquel/aquella que quiera profundizar en el aprendizaje de esta ciencia. Será un placer ayudaros en caso de que tengáis dudas frente algún problema, sin embargo, no realizamos un ejercicio que nos presentéis de 0 sin que hayáis si quiera intentado resolverlo. Ánimo, todo esfuerzo tiene su recompensa.
Factorización de un trinomio 2do grado
SRS. SUPERPROF.- CIENCIAS MATEMÁTICAS, REQUIERE DIFERENTES METODOLOGÍAS EN BIEN DE LOS EDUCANDOS. EL ESFUERZOS QUE VOSOTRO BRINDAN OBVIAMENTE ES EN BIEN DE NUESTRAS FUTURAS GENERACIONES. INFINITAS GRACIAS POR VUESTRAS HONORABLES DEDICACIONES. EN VERDAD, INFINITAS GRACIAS. DIOS LES ILUMINE POR SIEMPRE. BENDICIONES. AMEN.
2x+y-z=-1
X-2y+z=5
3x-y-2z=0
Me encuentro realizando los ejercicios de la pagina con mi hija a la cual le estoy explicando los metodos de resolucion geometricos y me encuentro con que dos de los ejercicios se los han calificado mal, las respuestas que tenemos son las misma ella y yo pues siguio los metodos paso a paso, pero nos encontramos con que el primer ejercicio califica la respuesta al reves y el segundo se la califica mal por no redondear el decimal… el segundo punto podria ser mas comprensible, pero el primero trajo a mi niña trantando de entender por que estaba mal durante 15 minutos hasta que vio que se le evaluava con los resultados cambiados, si el orden de los resultados importa para calificarlos, sean mas claros con donde los quieres pues el problema dice que el largo de un area es el triple del ancho del otro lado, en el largo pusimos la respuesta que es 3X = 131.25 y en ancho pusimos x que es 43.75, pues la pagina lo reviso como erroneo punoniendo que las cajas o las etiquetas del archivo html estan mal asignadas
Una disculpa ya se corrigió.
Hola con todo gusto te ayudamos, solo menciónanos algunos de los ejercicios que no entiendas y te podremos ayudar, puede ser uno de los ejercicios de los artículos o alguno que tu tengas.
Hola, con gusto te explicamos, podrías señalar cuales son las ecuaciones que no entiendes como se resolvieron y será un placer ayudarte.