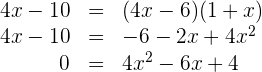
Resuelve las siguientes ecuaciones irracionales y escoge la opción correcta:
La ecuación
tiene ...
Selecciona una respuesta.
1 Descomponemos los denominadores en factores


2 Calculamos el mcm de los denominadores

3 Hacemos que ambas fracciones tengan el mismo denominador

4 Igualamos los numeradores y obtenemos

5 Empleamos la fórmula para encontrar las soluciones de la ecuación de segundo grado

6 Como en los reales no existe la raíz cuadrada de un número negativo, entonces decimos que la ecuación no tiene soluciones reales.
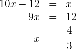
La ecuación
tiene ...
Selecciona una respuesta.
1 Descomponemos los denominadores en factores



2 Calculamos el mcm de los denominadores

3 Hacemos que ambos lados tengan el mismo denominador y realizamos las operaciones

4 Igualamos los numeradores y obtenemos

5 Comprobamos que es una solución

6 Como
cumple la igualdad, entonces decimos que es solución.
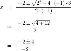
La ecuación
tiene ...
Selecciona una respuesta.
1 Descomponemos los denominadores en factores



2 Calculamos el mcm de los denominadores

3 Hacemos que ambos lados tengan el mismo denominador y realizamos las operaciones

4 Igualamos los numeradores y obtenemos

5 Empleamos la fórmula para encontrar las soluciones de la ecuación de segundo grado

Y obtenemos
y 
6 Comprobamos que son solución


7 Como
y
cumplen la igualdad, entonces decimos que son solución.
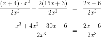
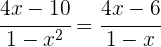
La ecuación
tiene ...
Selecciona una respuesta.
1 Descomponemos los denominadores en factores



2 Calculamos el mcm de los denominadores

3 Hacemos que ambos lados tengan el mismo denominador y realizamos las operaciones

4 Igualamos los numeradores y obtenemos

5 Notamos que
satisface la igualdad de los numeradores. Empleamos la fórmula para encontrar las soluciones de la ecuación de segundo grado

Y obtenemos
y 
6 Comprobamos que son solución



7 Como
y
cumplen la igualdad, entonces decimos que son solución. Notamos que para
los denominadores se anulan, por lo que
no es solución.
Si tienes dudas puedes consultar la teoría

Apuntes es una plataforma dirigida al estudio y la práctica de las matemáticas a través de la teoría y ejercicios interactivos que ponemos a vuestra disposición. Esta información está disponible para todo aquel/aquella que quiera profundizar en el aprendizaje de esta ciencia. Será un placer ayudaros en caso de que tengáis dudas frente algún problema, sin embargo, no realizamos un ejercicio que nos presentéis de 0 sin que hayáis si quiera intentado resolverlo. Ánimo, todo esfuerzo tiene su recompensa.
Factorización de un trinomio 2do grado
SRS. SUPERPROF.- CIENCIAS MATEMÁTICAS, REQUIERE DIFERENTES METODOLOGÍAS EN BIEN DE LOS EDUCANDOS. EL ESFUERZOS QUE VOSOTRO BRINDAN OBVIAMENTE ES EN BIEN DE NUESTRAS FUTURAS GENERACIONES. INFINITAS GRACIAS POR VUESTRAS HONORABLES DEDICACIONES. EN VERDAD, INFINITAS GRACIAS. DIOS LES ILUMINE POR SIEMPRE. BENDICIONES. AMEN.
2x+y-z=-1
X-2y+z=5
3x-y-2z=0
Me encuentro realizando los ejercicios de la pagina con mi hija a la cual le estoy explicando los metodos de resolucion geometricos y me encuentro con que dos de los ejercicios se los han calificado mal, las respuestas que tenemos son las misma ella y yo pues siguio los metodos paso a paso, pero nos encontramos con que el primer ejercicio califica la respuesta al reves y el segundo se la califica mal por no redondear el decimal… el segundo punto podria ser mas comprensible, pero el primero trajo a mi niña trantando de entender por que estaba mal durante 15 minutos hasta que vio que se le evaluava con los resultados cambiados, si el orden de los resultados importa para calificarlos, sean mas claros con donde los quieres pues el problema dice que el largo de un area es el triple del ancho del otro lado, en el largo pusimos la respuesta que es 3X = 131.25 y en ancho pusimos x que es 43.75, pues la pagina lo reviso como erroneo punoniendo que las cajas o las etiquetas del archivo html estan mal asignadas
Una disculpa ya se corrigió.
Y con a>1?
Hola podrías hacernos el favor de dar mas información como el número de ejercicio para poder resolver tu duda.
2x+y-z=-1
X-2y+z=5
3x-y-2z=0
Ecuaciones metodo Guss jordan
Hola soy David quisiera que me expliquen como se realizan las ecuaciones de 1er grado