Resuelve los siguientes problemas:
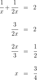
1Sabiendo que un grifo
tarda el doble que otro
en llenar de agua un depósito y que entre los dos tardan
minutos, ¿podrías decir cuánto tiempo tarda cada uno de los grifos en llenar el depósito del que hablamos?
Grifo

Este campo es obligatorio.
Grifo

Este campo es obligatorio.
1 Como en este caso no sabemos qué tiempo tarda cada grifo en llenar el depósito, esta será la incógnita de la ecuación que planteemos
El grifo
tarda
horas en llenar el depósito.
El grifo
tarda
horas en llenar el depósito.
2 La cantidad del depósito llenada por cada uno de los grifos durante una hora es
En una hora el grifo
llena
del depósito.
En una hora el grifo
llena
del depósito.
3 Sabemos que los dos grifos juntos tardan media hora en llenar el depósito, entonces en una hora juntos llenan dos depósitos

4 Así, el grifo
tarda tres cuartos de hora en llenar el depósito, esto es,
minutos. Por otra partes, el grifo
tarda
minutos en llenar el depósito, esto es,
hora y
minutos
2Sabiendo que un grifo
tarda el triple que otro
en llenar de agua un depósito y que entre los dos tardan
minutos, ¿indica cuánto tiempo tarda cada uno de los grifos en llenar el depósito?
Grifo

Este campo es obligatorio.
Grifo

¿Buscas clases de matematicas a domicilio? ¡Encuéntralas en Superprof!
Este campo es obligatorio.
1 Como en este caso no sabemos qué tiempo tarda cada grifo en llenar el depósito, esta será la incógnita de la ecuación que planteemos
El grifo
tarda
horas en llenar el depósito.
El grifo
tarda
horas en llenar el depósito.
2 La cantidad del depósito llenada por cada uno de los grifos durante una hora es
En una hora el grifo
llena
del depósito.
En una hora el grifo
llena
del depósito.
3 Sabemos que los dos grifos juntos tardan treinta minutos en llenar el depósito, entonces en una hora juntos llenan dos depósitos

4 Así, el grifo
tarda dos tercios de hora en llenar el depósito, esto es,
minutos. Por otra partes, el grifo
tarda
minutos en llenar el depósito, esto es,
horas
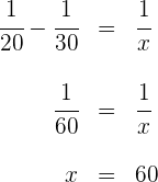
3Sabiendo que un grifo
tarda
minutos en llenar un depósito y que otro
tarda
minutos en llenar el mismo depósito, ¿en cuánto tiempo tardarán ambos grifos en llenar el depósito?

Este campo es obligatorio.
1 Como en este caso sabemos qué tiempo tarda cada grifo en llenar el depósito se tiene
El grifo
en un minuto llena
del depósito.
El grifo
en un minuto llena
del depósito.
2 El tiempo empleado por ambos grifos en llenar el depósito es de
minutos
En un minuto ambos grifos llenan
del depósito, por lo que se tiene

3 Así, ambos grifos tardan
minutos en llenar justos el depósito
4Sabiendo que un grifo
tarda
minutos en llenar un depósito y que un desagüe
tarda
minutos en vaciar el mismo depósito, ¿en cuánto tiempo se llenará el depósito con el grifo y el desagüe abiertos al mismo tiempo?

¿Vives en la Ciudad Condal? ¡Descubre nuestras clases particulares matematicas Barcelona!
Este campo es obligatorio.
1 Como en este caso sabemos qué tiempo tarda el grifo en llenar el depósito y el desagüe en vaciarlo, se tiene
El grifo
en un minuto llena
del depósito.
El desagüe
en un minuto vacía
del depósito.
2 El tiempo empleado por ambas llaves en llenar el depósito es de
minutos
En un minuto con ambas llaves abiertas se llenan
del depósito, por lo que se tiene

3 Así, con ambas llaves abiertas se tarda
minutos en llenar juntos el depósito
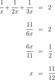
5Sabiendo que un grifo
tarda el doble que otro
en llenar de agua un depósito y que un tercer grifo
tarda el triple que
en llenar el mismo depósito. Indica el tiempo que tarda cada uno de los grifos en llenar el depósito si se sabe que juntos tardan
minutos en llenarlo.
Grifo

Este campo es obligatorio.
Grifo

Este campo es obligatorio.
Grifo

Este campo es obligatorio.
1 Como en este caso no sabemos qué tiempo tarda cada grifo en llenar el depósito, esta será la incógnita de la ecuación que planteemos
El grifo
tarda
horas en llenar el depósito.
El grifo
tarda
horas en llenar el depósito.
El grifo
tarda
horas en llenar el depósito.
2 La cantidad del depósito llenada por cada uno de los grifos durante una hora es
En una hora el grifo
llena
del depósito.
En una hora el grifo
llena
del depósito.
En una hora el grifo
llena
del depósito.
3 Sabemos que los tres grifos juntos tardan media hora en llenar el depósito, entonces en una hora juntos llenan dos depósitos

4 Así, el grifo
tarda once doceavos de hora en llenar el depósito, esto es,
minutos. Por otra partes, el grifo
tarda
minutos en llenar el depósito, esto es,
hora y
minutos. Finalmente el grifo
tarda
minutos en llenar el depósito, esto es,
hora y
minutos.
6Sabiendo que un grifo
tarda el doble que otro
en llenar de agua un depósito y que un desagüe
tarda el triple que
en vaciar el mismo depósito. Indica el tiempo que tarda cada uno de los grifos en llenar el depósito y el desagüe en vaciarlo si se sabe que abiertas las tres llaves, se tarda
minutos en llenarlo.
Grifo

Este campo es obligatorio.
Grifo

Este campo es obligatorio.
Desagüe

Este campo es obligatorio.
1 Como en este caso no sabemos qué tiempo tarda cada grifo en llenar el depósito, tampoco sabemos cuanto tarda el desagüe en vaciarlo, por lo que esta será la incógnita de la ecuación que planteemos
El grifo
tarda
horas en llenar el depósito.
El grifo
tarda
horas en llenar el depósito.
El desagüe
tarda
horas en vaciar el depósito.
2 La cantidad del depósito llenada por cada uno de los grifos durante una hora es
En una hora el grifo
llena
del depósito.
En una hora el grifo
llena
del depósito.
3 La cantidad del depósito vaciada por el desagüe durante una hora es
En una hora el grifo
llena
del depósito.
4 Sabemos que las tres llaves juntas tardan media hora en llenar el depósito, entonces en una hora juntos llenan dos depósitos

4 Así, el grifo
tarda siete doceavos de hora en llenar el depósito, esto es,
minutos. Por otra partes, el grifo
tarda
minutos en llenar el depósito, esto es,
hora y
minutos. Finalmente el desagüe
tarda
minutos en vaciar el depósito, esto es,
hora y
minutos.
7Queremos llenar una alberca con dos grifos. El grifo
tarda el llenarla
horas y el grifo
tarda
horas, sabiendo que la alberca tiene un agujero que tarda en vaciarla
horas. ¿Cuánto tardarán los dos grifos juntos en llenar la alberca?

Este campo es obligatorio.
1 Como en este caso sabemos qué tiempo tardan los grifo en llenar el depósito y el agujero en vaciarlo, se tiene
El grifo
en una hora llena
del depósito.
El grifo
en una hora llena
del depósito.
El agujero en una hora vacía
del depósito.
2 El tiempo empleado por ambos grifos en llenar el depósito es de
horas
En una hora con ambos grifos abiertos se llenan
del depósito, por lo que se tiene

3 Así, con ambas llaves abiertas se tarda
horas en llenar juntos el depósito, esto es,
horas y
minutos
Si tienes dudas puedes consultar la teoría

Apuntes es una plataforma dirigida al estudio y la práctica de las matemáticas a través de la teoría y ejercicios interactivos que ponemos a vuestra disposición. Esta información está disponible para todo aquel/aquella que quiera profundizar en el aprendizaje de esta ciencia. Será un placer ayudaros en caso de que tengáis dudas frente algún problema, sin embargo, no realizamos un ejercicio que nos presentéis de 0 sin que hayáis si quiera intentado resolverlo. Ánimo, todo esfuerzo tiene su recompensa.
Factorización de un trinomio 2do grado
SRS. SUPERPROF.- CIENCIAS MATEMÁTICAS, REQUIERE DIFERENTES METODOLOGÍAS EN BIEN DE LOS EDUCANDOS. EL ESFUERZOS QUE VOSOTRO BRINDAN OBVIAMENTE ES EN BIEN DE NUESTRAS FUTURAS GENERACIONES. INFINITAS GRACIAS POR VUESTRAS HONORABLES DEDICACIONES. EN VERDAD, INFINITAS GRACIAS. DIOS LES ILUMINE POR SIEMPRE. BENDICIONES. AMEN.
2x+y-z=-1
X-2y+z=5
3x-y-2z=0
Me encuentro realizando los ejercicios de la pagina con mi hija a la cual le estoy explicando los metodos de resolucion geometricos y me encuentro con que dos de los ejercicios se los han calificado mal, las respuestas que tenemos son las misma ella y yo pues siguio los metodos paso a paso, pero nos encontramos con que el primer ejercicio califica la respuesta al reves y el segundo se la califica mal por no redondear el decimal… el segundo punto podria ser mas comprensible, pero el primero trajo a mi niña trantando de entender por que estaba mal durante 15 minutos hasta que vio que se le evaluava con los resultados cambiados, si el orden de los resultados importa para calificarlos, sean mas claros con donde los quieres pues el problema dice que el largo de un area es el triple del ancho del otro lado, en el largo pusimos la respuesta que es 3X = 131.25 y en ancho pusimos x que es 43.75, pues la pagina lo reviso como erroneo punoniendo que las cajas o las etiquetas del archivo html estan mal asignadas
Una disculpa ya se corrigió.
Hola con todo gusto te ayudamos, solo menciónanos algunos de los ejercicios que no entiendas y te podremos ayudar, puede ser uno de los ejercicios de los artículos o alguno que tu tengas.
Hola, con gusto te explicamos, podrías señalar cuales son las ecuaciones que no entiendes como se resolvieron y será un placer ayudarte.