Resuelve los siguientes ejercicios de ecuaciones irracionales:

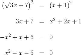
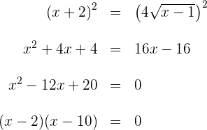
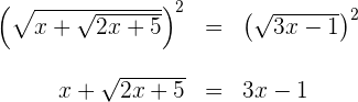
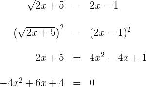
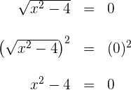
1 Aislamos el radical

2 Elevamos al cuadrado los dos miembros y obtenemos una ecuación de grado dos

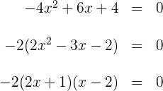
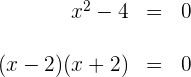
3 Resolvemos la ecuación empleando factorizaciones

luego las raíces son
y 
4 Comprobamos si las raíces obtenidas satisfacen la ecuación irracional inicial, aquellas que satisfacen serán soluciones mientras que aquellas que no satisfacen no serán soluciones
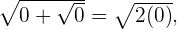
Para
se tiene
, no cumple
Para
se tiene
, si cumple
luego la solución de la ecuación irracional es 

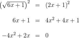
1 Aislamos el radical

2 Elevamos al cuadrado los dos miembros y obtenemos una ecuación de grado dos

3 Resolvemos la ecuación empleando factorizaciones

luego las raíces son
y 
4 Comprobamos si las raíces obtenidas satisfacen la ecuación irracional inicial, aquellas que satisfacen serán soluciones mientras que aquellas que no satisfacen no serán soluciones
Para
se tiene
si cumple.
Para
se tiene
, si cumple
luego las soluciones de la ecuación irracional son
y 

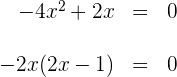
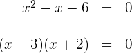
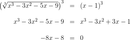
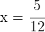
1 Aislamos el radical

2 Elevamos al cubo los dos miembros y obtenemos una ecuación de grado dos

3 Resolvemos la ecuación empleando factorizaciones

luego las raíces son
y 
4 Comprobamos si las raíces obtenidas satisfacen la ecuación irracional inicial, aquellas que satisfacen serán soluciones mientras que aquellas que no satisfacen no serán soluciones
Para
se tiene
, si cumple.
Para
se tiene
, si cumple
luego las soluciones de la ecuación irracional son
y 

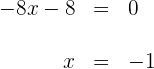
1 Aislamos el radical

2 Elevamos al cubo los dos miembros y obtenemos una ecuación de grado uno

3 Resolvemos la ecuación

luego la raíz es 
4 Comprobamos si la raíz obtenida satisface la ecuación irracional inicial
si cumple.
luego la solución de la ecuación irracional es 

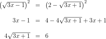
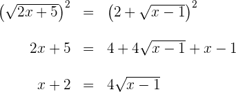
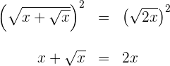
1 Aislamos un radical

2 Elevamos al cuadrado los dos miembros y simplificamos los términos semejantes

3 Nos queda nuevamente un radical el cual aislamos, elevamos al cuadrado los dos miembros y obtenemos la raiz

luego la raiz es 
4 Comprobamos si la raiz obtenida satisface la ecuación irracional inicial, aquellas que satisfacen serán soluciones mientras que aquellas que no satisfacen no serán soluciones
Para
se tiene
, si cumple
luego la solución de la ecuación irracional es 

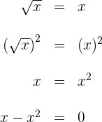
1 Aislamos un radical

2 Elevamos al cuadrado los dos miembros y simplificamos los términos semejantes

3 Nos queda nuevamente un radical el cual aislamos, elevamos al cuadrado los dos miembros y obtenemos la raiz

luego las raices son 
4 Comprobamos si las raíces obtenidas satisfacen la ecuación irracional inicial, aquellas que satisfacen serán soluciones mientras que aquellas que no satisfacen no serán soluciones
Para
se tiene
, si cumple
Para
se tiene
, si cumple
luego las soluciones de la ecuación irracional son 

1 Aislamos un radical

2 Elevamos al cuadrado los dos miembros y simplificamos los términos semejantes

3 Nos queda nuevamente un radical el cual aislamos, elevamos al cuadrado los dos miembros y obtenemos la raiz

luego las raices son
y 
4 Comprobamos si las raíces obtenidas satisfacen la ecuación irracional inicial, aquellas que satisfacen serán soluciones mientras que aquellas que no satisfacen no serán soluciones
Para
se tiene
, si cumple
Para
se tiene
, si cumple
luego las soluciones de la ecuación irracional son
y 

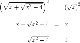
1 Elevamos al cuadrado los dos miembros

2 Aislamos la raiz y elevamos al cuadrado los dos miembros

3 Resolvemos la ecuación

luego las raíces son
y 
4 Comprobamos si las raíces obtenidas satisfacen la ecuación irracional inicial
Para 
si cumple.
Para 
si cumple.
luego las soluciones de la ecuación irracional son
y 

1 Elevamos al cuadrado los dos miembros

2 Aislamos la raiz y elevamos al cuadrado los dos miembros

3 Resolvemos la ecuación

luego las raíces son
y 
4 Comprobamos si las raíces obtenidas satisfacen la ecuación irracional inicial
Para 
si cumple.
Para 
no cumple.
luego la solución de la ecuación irracional es 

1 Elevamos al cuadrado los dos miembros

2 Elevamos al cuadrado los dos miembros

3 Resolvemos la ecuación

luego las raíces son
y 
4 Comprobamos si las raíces obtenidas satisfacen la ecuación irracional inicial
Para 
si cumple.
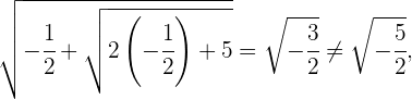
Para
no se tiene solución ya que
no existe en los números reales
luego la solución de la ecuación irracional es 

Apuntes es una plataforma dirigida al estudio y la práctica de las matemáticas a través de la teoría y ejercicios interactivos que ponemos a vuestra disposición. Esta información está disponible para todo aquel/aquella que quiera profundizar en el aprendizaje de esta ciencia. Será un placer ayudaros en caso de que tengáis dudas frente algún problema, sin embargo, no realizamos un ejercicio que nos presentéis de 0 sin que hayáis si quiera intentado resolverlo. Ánimo, todo esfuerzo tiene su recompensa.
Factorización de un trinomio 2do grado
SRS. SUPERPROF.- CIENCIAS MATEMÁTICAS, REQUIERE DIFERENTES METODOLOGÍAS EN BIEN DE LOS EDUCANDOS. EL ESFUERZOS QUE VOSOTRO BRINDAN OBVIAMENTE ES EN BIEN DE NUESTRAS FUTURAS GENERACIONES. INFINITAS GRACIAS POR VUESTRAS HONORABLES DEDICACIONES. EN VERDAD, INFINITAS GRACIAS. DIOS LES ILUMINE POR SIEMPRE. BENDICIONES. AMEN.
2x+y-z=-1
X-2y+z=5
3x-y-2z=0
Me encuentro realizando los ejercicios de la pagina con mi hija a la cual le estoy explicando los metodos de resolucion geometricos y me encuentro con que dos de los ejercicios se los han calificado mal, las respuestas que tenemos son las misma ella y yo pues siguio los metodos paso a paso, pero nos encontramos con que el primer ejercicio califica la respuesta al reves y el segundo se la califica mal por no redondear el decimal… el segundo punto podria ser mas comprensible, pero el primero trajo a mi niña trantando de entender por que estaba mal durante 15 minutos hasta que vio que se le evaluava con los resultados cambiados, si el orden de los resultados importa para calificarlos, sean mas claros con donde los quieres pues el problema dice que el largo de un area es el triple del ancho del otro lado, en el largo pusimos la respuesta que es 3X = 131.25 y en ancho pusimos x que es 43.75, pues la pagina lo reviso como erroneo punoniendo que las cajas o las etiquetas del archivo html estan mal asignadas
Una disculpa ya se corrigió.
Hola con todo gusto te ayudamos, solo menciónanos algunos de los ejercicios que no entiendas y te podremos ayudar, puede ser uno de los ejercicios de los artículos o alguno que tu tengas.
Hola, con gusto te explicamos, podrías señalar cuales son las ecuaciones que no entiendes como se resolvieron y será un placer ayudarte.