1 Arrastra las expresiones algebraicas al cuadro que corresponda:












El doble de un número más cuatro
El doble de la suma de un número más cuatro
La tercera parte del cuadrado de un número
Un número menos siete
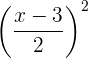
La mitad de un número menos tres elevada al cuadrado
El cubo de la suma de un número más seis
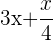
El triple de un número más su cuarta parte
El número once menos el triple de un número
La diferencia del doble de un número con 8 elevada al cubo
Un número más el doble de su siguiente
El cubo del doble de un número menos ocho
La suma de dos números consecutivos
| El doble de un número más cuatro | El doble de la suma de un número más cuatro | La tercera parte del cuadrado de un número | Un número menos siete |
![]() | ![]() | ![]() | ![]() |
| La mitad de un número menos tres elevada al cuadrado | El cubo de la suma de un número más seis | El triple de un número más su cuarta parte | El número once menos el triple de un número |
![]() | ![]() | ![]() | ![]() |
| La diferencia del doble de un número con 8 elevada al cubo | Un número más el doble de su siguiente | El cubo del doble de un número menos ocho | La suma de dos números consecutivos |
![]() | ![]() | ![]() | ![]() |
Si tienes dudas puedes consultar la teoría

Apuntes es una plataforma dirigida al estudio y la práctica de las matemáticas a través de la teoría y ejercicios interactivos que ponemos a vuestra disposición. Esta información está disponible para todo aquel/aquella que quiera profundizar en el aprendizaje de esta ciencia. Será un placer ayudaros en caso de que tengáis dudas frente algún problema, sin embargo, no realizamos un ejercicio que nos presentéis de 0 sin que hayáis si quiera intentado resolverlo. Ánimo, todo esfuerzo tiene su recompensa.
Factorización de un trinomio 2do grado
SRS. SUPERPROF.- CIENCIAS MATEMÁTICAS, REQUIERE DIFERENTES METODOLOGÍAS EN BIEN DE LOS EDUCANDOS. EL ESFUERZOS QUE VOSOTRO BRINDAN OBVIAMENTE ES EN BIEN DE NUESTRAS FUTURAS GENERACIONES. INFINITAS GRACIAS POR VUESTRAS HONORABLES DEDICACIONES. EN VERDAD, INFINITAS GRACIAS. DIOS LES ILUMINE POR SIEMPRE. BENDICIONES. AMEN.
2x+y-z=-1
X-2y+z=5
3x-y-2z=0
Me encuentro realizando los ejercicios de la pagina con mi hija a la cual le estoy explicando los metodos de resolucion geometricos y me encuentro con que dos de los ejercicios se los han calificado mal, las respuestas que tenemos son las misma ella y yo pues siguio los metodos paso a paso, pero nos encontramos con que el primer ejercicio califica la respuesta al reves y el segundo se la califica mal por no redondear el decimal… el segundo punto podria ser mas comprensible, pero el primero trajo a mi niña trantando de entender por que estaba mal durante 15 minutos hasta que vio que se le evaluava con los resultados cambiados, si el orden de los resultados importa para calificarlos, sean mas claros con donde los quieres pues el problema dice que el largo de un area es el triple del ancho del otro lado, en el largo pusimos la respuesta que es 3X = 131.25 y en ancho pusimos x que es 43.75, pues la pagina lo reviso como erroneo punoniendo que las cajas o las etiquetas del archivo html estan mal asignadas
Una disculpa ya se corrigió.
Hola con todo gusto te ayudamos, solo menciónanos algunos de los ejercicios que no entiendas y te podremos ayudar, puede ser uno de los ejercicios de los artículos o alguno que tu tengas.
Hola, con gusto te explicamos, podrías señalar cuales son las ecuaciones que no entiendes como se resolvieron y será un placer ayudarte.