Capítulos
- Ecuaciones de segundo grado
- Resolución de ecuaciones de segundo grado incompletas
- Estudio de las soluciones
- Propiedades de las soluciones
- Ecuaciones racionales
- Ecuaciones bicuadradas
- Ecuaciones irracionales
- Pasos de resolución para ecuaciones irracionales
- Ecuaciones de grado superior a dos
- Sistemas de tres ecuaciones con tres incógnitas
- Sistemas de ecuaciones no lineales
Ecuaciones de segundo grado
Una ecuación de segundo grado es toda expresión de la forma:
con 
Se resuelve mediante la siguiente fórmula:

En el caso de que
, multiplicamos los dos miembros por 
Resolución de ecuaciones de segundo grado incompletas
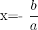
Primer tipo de ecuación de segundo grado incompleta

La solución es 
Segundo tipo de ecuación de segundo grado incompleta
Extraemos factor común
.
Igualamos cada factor a
y resolvemos las ecuaciones de primer grado.


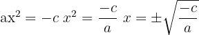
Tercer tipo de ecuación de segundo grado incompleta
Despejamos:
se calculan así:
Estudio de las soluciones
Como lo sabemos ya, las ecuaciones de segundo grado son todas las ecuaciones de la forma
con 
y se resuelven así:

se llama el discriminante de la ecuación y permite averiguar en cada ecuación el número de soluciones.
Podemos distinguir tres casos:
El primer caso
En esta situación, cuando el determinante es mayor que
, la ecuación tiene dos soluciones, que son números reales distintos.
El segundo caso
En esta situación, cuando el determinante es igual a
, la ecuación tiene una solución doble.
El tercer caso
En esta situación, cuando el determinante es menos que
, la ecuación no tiene soluciones reales.
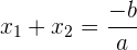
Propiedades de las soluciones
La suma de las soluciones de una ecuación de segundo grado es igual a:
El producto de las soluciones de una ecuación de segundo grado es igual a:
La ecuación de segundo grado a partir de sus soluciones
Si conocemos las raíces de una ecuación, la podemos escribir de la siguiente manera:
Factorización de un trinomio de segundo grado

Ecuaciones racionales
La ecuaciones racionales son ecuaciones en las que aparecen fracciones polinómicas.
Para resolverlas se multiplican ambos miembros de la ecuación por el mínimo común múltiplo de los denominadores.
Debemos comprobar las soluciones, para rechazar posibles soluciones extrañas provenientes de la ecuación transformada (la resultante de multiplicar por el mínimo común múltiplo), pero que no lo son de la ecuación original.
Ecuaciones bicuadradas
Las ecuaciones bicuadradas son ecuaciones de cuarto grado sin términos de grado impar:
Para resolverlas, efectuamos el cambio siguiente:

para poder generar una ecuación de segundo grado con la incógnita
:
Por cada valor positivo de
habrá dos valores de
:
Ecuaciones irracionales
Las ecuaciones irracionales son aquellas que tienen la incógnita bajo el signo radical.
Pasos de resolución para ecuaciones irracionales
1 Se aísla un radical en uno de los dos miembros, pasando al otro miembro el resto de los términos, aunque tengan también radicales.
2 Se elevan al cuadrado los dos miembros.
3 Se resuelve la ecuación obtenida.
4 Se comprueba si las soluciones obtenidas verifican la ecuación inicial. Hay que tener en cuenta que al elevar al cuadrado una ecuación se obtiene otra que tiene las mismas soluciones que la dada y, además las de la ecuación que se obtiene cambiando el signo de uno de los miembros de la ecuación.
5 Si la ecuación tiene varios radicales, se repiten las dos primeras fases del proceso hasta eliminarlos todos.
Ecuaciones de grado superior a dos
Es una ecuación de cualquier grado escrita de la forma:

El polinomio
se puede descomponer en factores de primer y segundo grado, entonces basta igualar a cero cada uno de los factores y resolver las ecuaciones de primer grado y de segundo grado resultantes.
Utilizamos el teorema del resto y la regla de Ruffini.
Sistemas de tres ecuaciones con tres incógnitas
Método de Gauss
Este método consiste en utilizar el método de reducción de manera que en cada ecuación tengamos una incógnita menos que en la ecuación precedente.
1 Ponemos como primera ecuación la que tenga el coeficiente en
más bajo.
2 Hacemos reducción con la primera y con la segunda ecuación, para eliminar el término en
de la segunda ecuación. Después ponemos como segunda ecuación el resultado de la operación:

3 Hacemos lo mismo con la primera y la tercera ecuación , para eliminar el término en
.
4 Tomamos la segunda y la tercera ecuacion trasformadas, para hacer reducción y eliminar el término en
.
5 Obtenemos el sistema equivalente escalonado.
6 Encontramos las soluciones.
Sistemas de ecuaciones no lineales
Un sistema de ecuaciones es no lineal, cuando al menos una de sus ecuaciones no es de primer grado.
La resolución de estos sistemas se suele hacer por el método de sustitución, para ello seguiremos los siguientes pasos:
1 Se despeja una incógnita en una de las ecuaciones, preferentemente en la de primer grado.
2 Se sustituye el valor de la incógnita despejada en la otra ecuación.
3 Se resuelve la ecuación resultante.
4 Cada uno de los valores obtenidos se sustituye en la otra ecuación, se obtienen así los valores correspondientes de la otra incógnita.
Recuerda que también te podemos ayudar a encontrar un curso de matematicas adapatado a tus necesidades.









Apuntes es una plataforma dirigida al estudio y la práctica de las matemáticas a través de la teoría y ejercicios interactivos que ponemos a vuestra disposición. Esta información está disponible para todo aquel/aquella que quiera profundizar en el aprendizaje de esta ciencia. Será un placer ayudaros en caso de que tengáis dudas frente algún problema, sin embargo, no realizamos un ejercicio que nos presentéis de 0 sin que hayáis si quiera intentado resolverlo. Ánimo, todo esfuerzo tiene su recompensa.
Factorización de un trinomio 2do grado
SRS. SUPERPROF.- CIENCIAS MATEMÁTICAS, REQUIERE DIFERENTES METODOLOGÍAS EN BIEN DE LOS EDUCANDOS. EL ESFUERZOS QUE VOSOTRO BRINDAN OBVIAMENTE ES EN BIEN DE NUESTRAS FUTURAS GENERACIONES. INFINITAS GRACIAS POR VUESTRAS HONORABLES DEDICACIONES. EN VERDAD, INFINITAS GRACIAS. DIOS LES ILUMINE POR SIEMPRE. BENDICIONES. AMEN.
2x+y-z=-1
X-2y+z=5
3x-y-2z=0
Me encuentro realizando los ejercicios de la pagina con mi hija a la cual le estoy explicando los metodos de resolucion geometricos y me encuentro con que dos de los ejercicios se los han calificado mal, las respuestas que tenemos son las misma ella y yo pues siguio los metodos paso a paso, pero nos encontramos con que el primer ejercicio califica la respuesta al reves y el segundo se la califica mal por no redondear el decimal… el segundo punto podria ser mas comprensible, pero el primero trajo a mi niña trantando de entender por que estaba mal durante 15 minutos hasta que vio que se le evaluava con los resultados cambiados, si el orden de los resultados importa para calificarlos, sean mas claros con donde los quieres pues el problema dice que el largo de un area es el triple del ancho del otro lado, en el largo pusimos la respuesta que es 3X = 131.25 y en ancho pusimos x que es 43.75, pues la pagina lo reviso como erroneo punoniendo que las cajas o las etiquetas del archivo html estan mal asignadas
Una disculpa ya se corrigió.
Hola con todo gusto te ayudamos, solo menciónanos algunos de los ejercicios que no entiendas y te podremos ayudar, puede ser uno de los ejercicios de los artículos o alguno que tu tengas.
Hola, con gusto te explicamos, podrías señalar cuales son las ecuaciones que no entiendes como se resolvieron y será un placer ayudarte.