Resuelve los siguientes sistemas de ecuaciones por el método de Gauss:
1 
;
; 
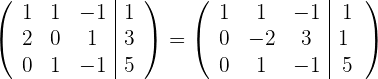
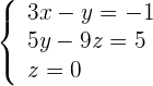
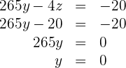
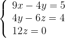
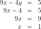
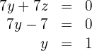
1Escribimos en forma matricial. Reemplazamos la fila
por 

Reemplazamos las filas
por 

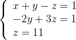
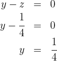
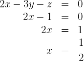
2De la matriz anterior se obtiene

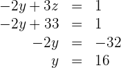
3Sustituimos el valor de
en la segunda ecuación y se obtiene

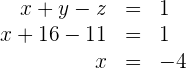
4Sustituimos los valores de
en la primera ecuación y se obtiene

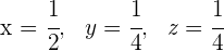
5La solución del sistema compatible determinado es

2 
;
; 
1Escribimos en forma matricial. Reemplazamos la fila
por 

Reemplazamos la fila
por 

2De la matriz anterior se obtiene

3Sustituimos el valor de
en la segunda ecuación y se obtiene

4Sustituimos los valores de
en la primera ecuación y se obtiene

5La solución del sistema compatible determinado es

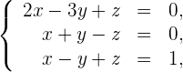
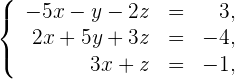
3 
;
; 
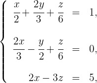
1Escribimos en forma matricial. Reemplazamos las filas
por
y 

Reemplazamos la fila
por 

2De la matriz anterior se obtiene

luego

3Sustituimos el valor de
en la segunda ecuación y se obtiene

4Sustituimos los valores de
en la primera ecuación y se obtiene

5La solución del sistema compatible determinado es

4 
;
; 
1Escribimos en forma matricial. Reemplazamos las filas
por
y 

Reemplazamos la fila
por 

2De la matriz anterior se obtiene

luego

3Sustituimos el valor de
en la segunda ecuación y se obtiene

4Sustituimos los valores de
en la primera ecuación y se obtiene

5La solución del sistema compatible determinado es

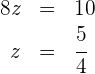
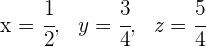
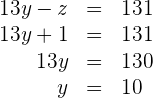
5 
;
; 
1Escribimos en forma matricial. Reemplazamos las filas
por
y 

Reemplazamos la fila
por 

2De la matriz anterior se obtiene

luego

3Sustituimos el valor de
en la segunda ecuación y se obtiene

4Sustituimos los valores de
en la primera ecuación y se obtiene

5La solución del sistema compatible determinado es

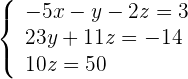
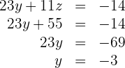
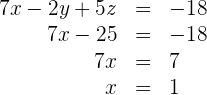
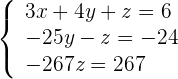
6 
;
; 
1Escribimos en forma matricial. Reemplazamos la fila
por 

Reemplazamos la fila
por 

2De la matriz anterior se obtiene

luego

3Sustituimos el valor de
en la segunda ecuación y se obtiene

4Sustituimos los valores de
en la primera ecuación y se obtiene

5La solución del sistema compatible determinado es

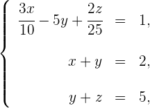
7 
;
; 
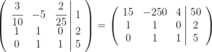
1Escribimos en forma matricial. Reemplazamos la fila
por 

Reemplazamos la fila
por 

Reemplazamos la fila
por 

2De la matriz anterior se obtiene

luego

3Sustituimos el valor de
en la segunda ecuación y se obtiene

4Sustituimos los valores de
en la primera ecuación y se obtiene

5La solución del sistema compatible determinado es

8 
;
; 
1Escribimos en forma matricial. Reemplazamos las filas
por
respectivamente

Reemplazamos las filas
por
respectivamente

Reemplazamos la fila
por 

2De la matriz anterior se obtiene

luego

3Sustituimos el valor de
en la segunda ecuación y se obtiene

4Sustituimos los valores de
en la primera ecuación y se obtiene

5La solución del sistema compatible determinado es

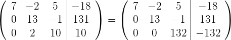
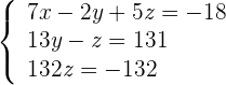
9 
;
; 
1Escribimos en forma matricial. Reemplazamos las filas
por
respectivamente

Reemplazamos la fila
por 

Reemplazamos la fila
por 

2De la matriz anterior se obtiene

luego

3Sustituimos el valor de
en la segunda ecuación y se obtiene

4Sustituimos el valor de
en la primera ecuación y se obtiene

5La solución del sistema compatible determinado es

10 
;
; 
1Escribimos en forma matricial. Reemplazamos las filas
por
respectivamente

Reemplazamos las filas
por
respectivamente

Reemplazamos la fila
por 

2De la matriz anterior se obtiene

luego

3Sustituimos el valor de
en la segunda ecuación y se obtiene

4Sustituimos los valores de
en la primera ecuación y se obtiene

5La solución del sistema compatible determinado es

11 
;
; 
1Escribimos en forma matricial. Reemplazamos las filas
por
respectivamente

2De la matriz anterior se obtiene

3De la segunda ecuación se obtiene

4Sustituimos los valores de
en la primera ecuación y se obtiene

5La solución del sistema compatible determinado es

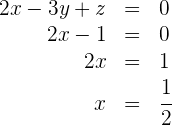
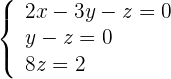
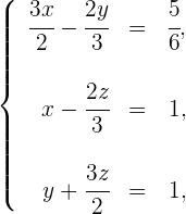
12 
;
; 
1Escribimos en forma matricial. Reemplazamos la fila
por 

Reemplazamos la fila
por 

2De la matriz anterior se obtiene

3De la tercera ecuación se obtiene

De la segunda ecuación se obtiene

4Sustituimos los valores de
en la primera ecuación y se obtiene

5La solución del sistema compatible determinado es

Si tienes dudas puedes consultar la teoría

Apuntes es una plataforma dirigida al estudio y la práctica de las matemáticas a través de la teoría y ejercicios interactivos que ponemos a vuestra disposición. Esta información está disponible para todo aquel/aquella que quiera profundizar en el aprendizaje de esta ciencia. Será un placer ayudaros en caso de que tengáis dudas frente algún problema, sin embargo, no realizamos un ejercicio que nos presentéis de 0 sin que hayáis si quiera intentado resolverlo. Ánimo, todo esfuerzo tiene su recompensa.
SRS. SUPERPROF.- CIENCIAS MATEMÁTICAS, REQUIERE DIFERENTES METODOLOGÍAS EN BIEN DE LOS EDUCANDOS. EL ESFUERZOS QUE VOSOTRO BRINDAN OBVIAMENTE ES EN BIEN DE NUESTRAS FUTURAS GENERACIONES. INFINITAS GRACIAS POR VUESTRAS HONORABLES DEDICACIONES. EN VERDAD, INFINITAS GRACIAS. DIOS LES ILUMINE POR SIEMPRE. BENDICIONES. AMEN.
2x+y-z=-1
X-2y+z=5
3x-y-2z=0
Me encuentro realizando los ejercicios de la pagina con mi hija a la cual le estoy explicando los metodos de resolucion geometricos y me encuentro con que dos de los ejercicios se los han calificado mal, las respuestas que tenemos son las misma ella y yo pues siguio los metodos paso a paso, pero nos encontramos con que el primer ejercicio califica la respuesta al reves y el segundo se la califica mal por no redondear el decimal… el segundo punto podria ser mas comprensible, pero el primero trajo a mi niña trantando de entender por que estaba mal durante 15 minutos hasta que vio que se le evaluava con los resultados cambiados, si el orden de los resultados importa para calificarlos, sean mas claros con donde los quieres pues el problema dice que el largo de un area es el triple del ancho del otro lado, en el largo pusimos la respuesta que es 3X = 131.25 y en ancho pusimos x que es 43.75, pues la pagina lo reviso como erroneo punoniendo que las cajas o las etiquetas del archivo html estan mal asignadas
Una disculpa ya se corrigió.
Y con a>1?
Hola podrías hacernos el favor de dar mas información como el número de ejercicio para poder resolver tu duda.
2x+y-z=-1
X-2y+z=5
3x-y-2z=0
Ecuaciones metodo Guss jordan
no entiendo deberían explicar un poco mas detallado
Hola, entendemos tu punto, pero para lograrlo podrías mencionar mas específicamente donde no entendiste y con gusto te ayudamos.