Temas
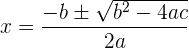
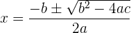
Una ecuación de segundo grado es toda expresión de la forma
con 
Se resuelve mediante la siguiente fórmula general:
Fórmula general para ecuaciones de segundo grado

La parte dentro del radical
es el discriminante, cuál nos brinda información acerca de la solución de nuestra ecuación.

El discriminante permite averiguar en cada ecuación el número de soluciones. Podemos distinguir tres casos:
1
Si el discriminante es positivo , es decir si
la ecuación de segundo grado tiene 2 posibles soluciones que son números reales distintos..
2
Si el discriminante es cero , es decir si
, la ecuación de segundo grado tiene una solución doble.
3
Si el discriminante es negativo , es decir
, la ecuación de segundo grado no tiene soluciones dentro del conjunto de los números reales.
Propiedades de las soluciones de la ecuación de 2º grado
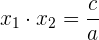
La suma de las soluciones de una ecuación de segundo grado es igual a:

El producto de las soluciones de una ecuación de segundo grado es igual a:

La ecuación de 2º grado a partir de sus soluciones
Si conocemos las raíces de una ecuación, la podemos escribir de la manera siguiente:

Siendo :


Ejemplo:
Escribe una ecuación de segundo grado cuyas soluciones son:
y
.


La ecuación es:
Factorización de un trinomio de segundo grado
Dada una ecuación de segundo grado completa:
Se puede descomponer en factores como sigue:
Ejemplo



Ejemplos de ecuaciones de segundo grado resueltas
1 
Para este caso observemos que:
Aplicamos la formula

2 
Para este caso observemos que:
Aplicamos la formula

3 
Si
, multiplicamos los dos miembros por
.

Observemos que:
Aplicamos la formula










Apuntes es una plataforma dirigida al estudio y la práctica de las matemáticas a través de la teoría y ejercicios interactivos que ponemos a vuestra disposición. Esta información está disponible para todo aquel/aquella que quiera profundizar en el aprendizaje de esta ciencia. Será un placer ayudaros en caso de que tengáis dudas frente algún problema, sin embargo, no realizamos un ejercicio que nos presentéis de 0 sin que hayáis si quiera intentado resolverlo. Ánimo, todo esfuerzo tiene su recompensa.
representa los siguientes puntos en el plano cartesiano y aplica rotación trasladada. a). A(-5,6). b). B(-1,-2). c). C(6,-3). d). D(7,5). e). E(2,0)
X+y=7
X-y=1
-890×4
El ejercicio dos está mal la solución.
Es x + y = -3
Y cuando busca la raíz utilza = 3.
El ejercicio 2 que me señalas es «Si al doble de un número se le resta su mitad resulta 54. ¿Cuál es el número?» y su solución es correcta.
Buenas tardes
Será que me pueden ayudar a resolver esto por favor
Resuelva las siguientes ecuaciones dando el conjunto solución
A/ √3x+1+3=x
2
B/. (X-2)=6
4. 2
C/. X +. X. -6=8
D/. |4x-7|=5
Me pueden ayudar gracias
En el enunciado del tercer apartado hay un incremento en vez de un símbolo de multiplicación
No encontré el símbolo de incremento, podrías señalar el ejercicio donde esta el error.