Las ecuaciones racionales son aquellas en las que una o más fracciones algebraicas intervienen en la igualdad. Resolver este tipo de ecuaciones implica encontrar los valores de la variable que hacen verdadera la expresión, cuidando siempre de excluir aquellos que anulan los denominadores, ya que no pertenecen al dominio de la ecuación.
Te presentamos ejercicios resueltos paso a paso que te ayudarán a comprender cómo abordar este tipo de ecuaciones.
Ejercicios de ecuaciones racionales
Resuelve las siguientes ecuaciones racionales

1 Calcular el m.c.m. de los denominadores. Reducimos a común denominador, para ello calculamos el m.c.m. de los denominadores

2 Obtener expresión no racional equivalente
Dividimos el m.c.m. entre cada denominador y el resultado lo multiplicamos por el numerador correspondiente y de ese procedimiento obtenemos la siguiente expresión:

3 Comprobación de la solución
Sustituimos la solución obtenida para verificar que la ecuación se cumpla

La solució de la ecuación es x = -1.

1 Calcular el m.c.m. de los denominadoresReducimos a común denominador, para ello calculamos el m.c.m. de los denominadores

2 Obtener expresión no racional equivalente
Dividimos el m.c.m. entre cada denominador y el resultado lo multiplicamos por el numerador correspondiente y de ese procedimiento obtenemos la siguiente expresión:

3 Comprobación de la solución
Sustituimos la solución obtenida para verificar que la ecuación se cumpla

La solución es x = 0.

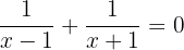
1 Calcular el m.c.m. de los denominadoresReducimos a común denominador, para ello calculamos el m.c.m. de los denominadores


2 Obtener expresión no racional equivalente
Dividimos el m.c.m. entre cada denominador y el resultado lo multiplicamos por el numerador correspondiente y de ese procedimiento obtenemos la siguiente expresión:

3 Comprobación de la solución
Sustituimos la solución obtenida para verificar que la ecuación se cumpla

La ecuación no tiene solución porque para x = 1 se anulan los denominadores.

1 Calcular el m.c.m. de los denominadores
Reducimos a común denominador, para ello calculamos el m.c.m. de los denominadores


2 Obtener expresión no racional equivalente
Dividimos el m.c.m. entre cada denominador y el resultado lo multiplicamos por el numerador correspondiente

3 Comprobación de la solución


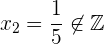
La solución es: 

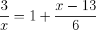
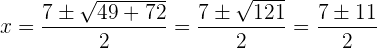
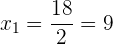
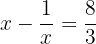
1 Calcular el m.c.m. de los denominadores
Reducimos a común denominador, para ello calculamos el m.c.m. de los denominadores

2 Obtener expresión no racional equivalente
Dividimos el m.c.m. entre cada denominador y el resultado lo multiplicamos por el numerador correspondiente



Recurrimos a la fórmula general para obtener las soluciones de esta cuadrática



3 Comprobación de la solución


Aplicaciones de ecuaciones racionales
Halla un número entero sabiendo que la diferencia con su inverso multiplicativo es 
1 Formulación de la ecuación
Número: 
Inverso del número: 
Suma de un número y su inverso: 
2 Eliminar denominadores
Tenemos una ecuación racional, en primer lugar tenemos que quitar denominadores


3 Resuelve



4 Comprobación
El número pedido es 3, pero como es una ecuación racional vamos a comprobarlo:

no es solución porque no es un número entero
Halla un número entero sabiendo que la suma con su inverso es 
1 Formulación de la ecuación
Número: 
Inverso del número: 
Suma de un número y su inverso: 
2 Eliminar denominadores
Tenemos una ecuación racional, en primer lugar tenemos que quitar denominadores


3 Resuelve



4 Comprobación
El número pedido es 5, pero como es una ecuación racional vamos a comprobarlo:

no es solución porque no es un número entero
Dos caños A y B llenan juntos una piscina en dos horas, A lo hace por sí solo en tres horas menos que B. ¿Cuántas horas tarda a cada uno separadamente?
1 Formulación de la ecuación
Tiempo que tarda A 
Tiempo que tarda B 
Tiempo que tarda A y B juntos

Velocidad en la que llena A 
Velocidad en la que llena B
Velocidad en la que llena A y B 
Como el caño A y el caño B llenan la piscina juntos en dos horas, la velocidad de llenado de cada uno se suma y obtenemos:

2 Eliminar denominadores
Tenemos una ecuación racional, tenemos que quitar denominadores


3 Resuelve



4 Comprobación
Comprobamos que 3 es una solución:


Tiempo de A 3 horas
Tiempo de B 6 horas
Un caño tarda dos horas más que otro en llenar un depósito y abriendo los dos juntos se llena en 1 hora y 20 minutos. ¿Cuánto tiempo tardará en llenarlo cada uno por separado?
1 Formulación de la ecuación
Pasamos el tiempo a una fracción de hora
1 hora y 20 minutos = 4/3 horas
Tiempo del 1º x
Tiempo del 2º x − 2
Tiempo de ambos 
Velocidad del 1º 
Velocidad del 2º 
Velocidad de ambos 
Como los caños llenan la piscina juntos en
hr., la velocidad de llenado de cada uno se suma y obtenemos:
Hacemos el inverso en el segundo miembro

2 Eliminamos denominadores
Quitamos denominadores, el m.c.m. es: 4x(x − 2)

3 Resuelve



Tiempo del primer: 4 horas
Tiempo de segundo 2 horas
Notamos que
no es una solución, porque el tiempo empleado por el segundo caño sería negativo.
Dos grifos juntos en una hora llenan cuatro veces un depósito. Si por si solo el segundo grifo necesita el triple del tiempo que el primer grifo, ¿cuánto tiempo tardarán en llenar el depósito cada uno de los grifos?
1 Formulación de la ecuación
Tiempo del 1º x
Tiempo del 2º 3x
Tiempo de ambos 
Velocidad del 1º 
Velocidad del 2º 
Velocidad de ambos 
Como los grifos llenan el depósito juntos en
hr., la velocidad de llenado de cada uno se suma y obtenemos:
Hacemos el inverso en el segundo miembro

2 Eliminamos denominadores
Quitamos denominadores, el m.c.m. es: 3x

3 Resuelve

Tiempo del primer: 20 minutos
Tiempo de segundo 1 hora









Apuntes es una plataforma dirigida al estudio y la práctica de las matemáticas a través de la teoría y ejercicios interactivos que ponemos a vuestra disposición. Esta información está disponible para todo aquel/aquella que quiera profundizar en el aprendizaje de esta ciencia. Será un placer ayudaros en caso de que tengáis dudas frente algún problema, sin embargo, no realizamos un ejercicio que nos presentéis de 0 sin que hayáis si quiera intentado resolverlo. Ánimo, todo esfuerzo tiene su recompensa.
Factorización de un trinomio 2do grado
SRS. SUPERPROF.- CIENCIAS MATEMÁTICAS, REQUIERE DIFERENTES METODOLOGÍAS EN BIEN DE LOS EDUCANDOS. EL ESFUERZOS QUE VOSOTRO BRINDAN OBVIAMENTE ES EN BIEN DE NUESTRAS FUTURAS GENERACIONES. INFINITAS GRACIAS POR VUESTRAS HONORABLES DEDICACIONES. EN VERDAD, INFINITAS GRACIAS. DIOS LES ILUMINE POR SIEMPRE. BENDICIONES. AMEN.
2x+y-z=-1
X-2y+z=5
3x-y-2z=0
Me encuentro realizando los ejercicios de la pagina con mi hija a la cual le estoy explicando los metodos de resolucion geometricos y me encuentro con que dos de los ejercicios se los han calificado mal, las respuestas que tenemos son las misma ella y yo pues siguio los metodos paso a paso, pero nos encontramos con que el primer ejercicio califica la respuesta al reves y el segundo se la califica mal por no redondear el decimal… el segundo punto podria ser mas comprensible, pero el primero trajo a mi niña trantando de entender por que estaba mal durante 15 minutos hasta que vio que se le evaluava con los resultados cambiados, si el orden de los resultados importa para calificarlos, sean mas claros con donde los quieres pues el problema dice que el largo de un area es el triple del ancho del otro lado, en el largo pusimos la respuesta que es 3X = 131.25 y en ancho pusimos x que es 43.75, pues la pagina lo reviso como erroneo punoniendo que las cajas o las etiquetas del archivo html estan mal asignadas
Una disculpa ya se corrigió.
Y con a>1?
Hola podrías hacernos el favor de dar mas información como el número de ejercicio para poder resolver tu duda.
2x+y-z=-1
X-2y+z=5
3x-y-2z=0
Ecuaciones metodo Guss jordan
Hola soy David quisiera que me expliquen como se realizan las ecuaciones de 1er grado