Seleccione la opción correcta en cada pregunta y resolver las ecuaciones bicuadradas correspondientes
Una ecuación bicuadrada...
Selecciona una respuesta.
Una ecuación del tipo
se resuelve...
Selecciona una respuesta.
La ecuación
tiene...
Selecciona una respuesta.
Tenemos que
, tomando el cambio de variable
entonces
y 
Resolvemos la ecuación cuadrática utilizando la formula general
de donde se obtiene

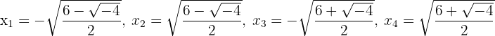
Y a partir de las soluciones de
obtenemos las soluciones de
:

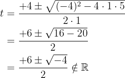
La ecuación
tiene...
Selecciona una respuesta.
Tenemos que
, tomando el cambio de variable

entonces

y

Resolvemos la ecuación cuadrática utilizando la formula general

Por tanto, no tiene soluciones reales.
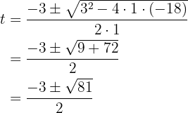
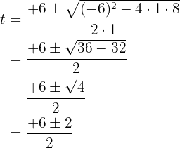
La ecuación
tiene...
Selecciona una respuesta.
Tenemos que
, multiplicamos por
y hacemos combio de variable obteniendo

Resolvemos la ecuación cuadrática

de donde se obtiene que


Y a partir de las soluciones de
obtenemos las soluciones de
:



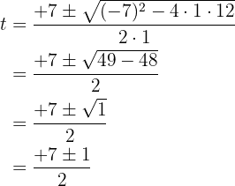
La ecuación
tiene...
Selecciona una respuesta.
Tenemos que
, tomando el cambio de variable

entonces

y

Resolvemos la ecuación cuadrática utilizando la formula general

de donde se obtiene que


Y a partir de las soluciones de
obtenemos las soluciones de
:


Si tienes dudas puedes consultar la teoría

Apuntes es una plataforma dirigida al estudio y la práctica de las matemáticas a través de la teoría y ejercicios interactivos que ponemos a vuestra disposición. Esta información está disponible para todo aquel/aquella que quiera profundizar en el aprendizaje de esta ciencia. Será un placer ayudaros en caso de que tengáis dudas frente algún problema, sin embargo, no realizamos un ejercicio que nos presentéis de 0 sin que hayáis si quiera intentado resolverlo. Ánimo, todo esfuerzo tiene su recompensa.
Factorización de un trinomio 2do grado
SRS. SUPERPROF.- CIENCIAS MATEMÁTICAS, REQUIERE DIFERENTES METODOLOGÍAS EN BIEN DE LOS EDUCANDOS. EL ESFUERZOS QUE VOSOTRO BRINDAN OBVIAMENTE ES EN BIEN DE NUESTRAS FUTURAS GENERACIONES. INFINITAS GRACIAS POR VUESTRAS HONORABLES DEDICACIONES. EN VERDAD, INFINITAS GRACIAS. DIOS LES ILUMINE POR SIEMPRE. BENDICIONES. AMEN.
2x+y-z=-1
X-2y+z=5
3x-y-2z=0
Me encuentro realizando los ejercicios de la pagina con mi hija a la cual le estoy explicando los metodos de resolucion geometricos y me encuentro con que dos de los ejercicios se los han calificado mal, las respuestas que tenemos son las misma ella y yo pues siguio los metodos paso a paso, pero nos encontramos con que el primer ejercicio califica la respuesta al reves y el segundo se la califica mal por no redondear el decimal… el segundo punto podria ser mas comprensible, pero el primero trajo a mi niña trantando de entender por que estaba mal durante 15 minutos hasta que vio que se le evaluava con los resultados cambiados, si el orden de los resultados importa para calificarlos, sean mas claros con donde los quieres pues el problema dice que el largo de un area es el triple del ancho del otro lado, en el largo pusimos la respuesta que es 3X = 131.25 y en ancho pusimos x que es 43.75, pues la pagina lo reviso como erroneo punoniendo que las cajas o las etiquetas del archivo html estan mal asignadas
Una disculpa ya se corrigió.
Hola con todo gusto te ayudamos, solo menciónanos algunos de los ejercicios que no entiendas y te podremos ayudar, puede ser uno de los ejercicios de los artículos o alguno que tu tengas.
Hola, con gusto te explicamos, podrías señalar cuales son las ecuaciones que no entiendes como se resolvieron y será un placer ayudarte.