Resuelve los siguientes problemas:
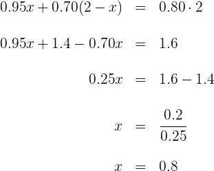
En una joyería tienen dos lingotes de oro, uno con un
de pureza y otro con un
. ¿Qué cantidad de cada uno se deberá fundir para conseguir un lingote de
con un
de pureza?
Del lingote con un
de pureza se deberán fundir
y del otro 
Este campo es obligatorio.
Primero denotamos
cantidad del lingote con
de pureza
cantidad del lingote con
de pureza
Registramos los datos en una tabla
Lingote del ![]() | Lingote del ![]() | Total | |
|---|---|---|---|
Nº de ![]() | ![]() | ![]() | ![]() |
| Oro | ![]() | ![]() | ![]() |
Planteamos una ecuación a partir de los datos de la tabla

Resolvemos la ecuación

Se deberán fundir
del lingote con
de pureza,
del lingote con
de pureza.
Se tienen dos lingotes de plata, uno tiene un 65% de pureza y el otro un 90%. Queremos mezclar 2 kg del primer tipo y 1 kg del segundo, ¿de qué pureza será la mezcla obtenida?
%
Este campo es obligatorio.
Primero denotamos
pureza de la nueva mezcla
Registramos los datos en una tabla
Lingote del ![]() | Lingote del ![]() | Total | |
|---|---|---|---|
| Nº de Kg | ![]() | ![]() | ![]() |
| Plata | ![]() | ![]() | ![]() |
Planteamos una ecuación a partir de los datos de la tabla

Resolvemos la ecuación

La mezcla obtenida será del
de pureza
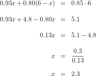
En una joyería tienen dos lingotes de plata, uno con un
de pureza y otro con un
. ¿Qué cantidad de cada uno se deberá fundir si se pretende conseguir un lingote de
con un
de pureza?
Del lingote con
de pureza se deberán fundir
y del otro 
Este campo es obligatorio.
Primero denotamos
cantidad del lingote con
de pureza
cantidad del lingote con
de pureza
Registramos los datos en una tabla
Lingote del ![]() | Lingote del ![]() | Total | |
|---|---|---|---|
Nº de ![]() | ![]() | ![]() | ![]() |
| Plata | ![]() | ![]() | ![]() |
Planteamos una ecuación a partir de los datos de la tabla

Resolvemos la ecuación

Se deberán fundir
del lingote con
de pureza,
del lingote con
de pureza.
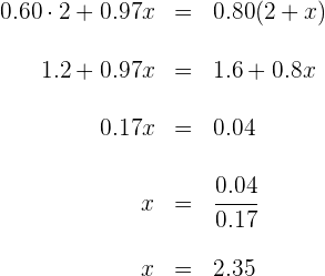
Dos barras contienen acero en un
y
respectivamente. Si mezclamos
de la primer y
de la segunda, ¿qué porcentaje de acero tendrá la nueva barra?
%
Este campo es obligatorio.
Primero denotamos
pureza de la nueva barra
Registramos los datos en una tabla
Barra del ![]() | Barra del ![]() | Total | |
|---|---|---|---|
| Nº de Kg | ![]() | ![]() | ![]() |
| Acero | ![]() | ![]() | ![]() |
Planteamos una ecuación a partir de los datos de la tabla

Resolvemos la ecuación

La mezcla obtenida será del
de pureza
Una barra de
contiene acero en un
. ¿Cuantos kilogramos de una barra que contiene acero en un
deben fundirse para obtener acero en un
?

Este campo es obligatorio.
Primero denotamos
cantidad de la barra con
de acero
cantidad de la barra con
de acero
Registramos los datos en una tabla
Barra del ![]() | Barra del ![]() | Total | |
|---|---|---|---|
Nº de ![]() | ![]() | ![]() | ![]() |
| Acero | ![]() | ![]() | ![]() |
Planteamos una ecuación a partir de los datos de la tabla

Resolvemos la ecuación

Se deberán fundir
de la barra con
de acero.
Se tienen un lingote de oro de
con
. ¿Cuantos kilogramos de un lingote de oro con
de pureza debe fundirse para obtener una pureza del
?
%
Este campo es obligatorio.
Primero denotamos
cantidad del lingote con
de pureza
cantidad del lingote con
de pureza
Registramos los datos en una tabla
Pureza del ![]() | Pureza del ![]() | Total | |
|---|---|---|---|
Nº de ![]() | ![]() | ![]() | ![]() |
| Oro | ![]() | ![]() | ![]() |
Planteamos una ecuación a partir de los datos de la tabla

Resolvemos la ecuación

Se deberán fundir
del lingote con
de pureza.
Si tienes dudas puedes consultar la teoría


































Apuntes es una plataforma dirigida al estudio y la práctica de las matemáticas a través de la teoría y ejercicios interactivos que ponemos a vuestra disposición. Esta información está disponible para todo aquel/aquella que quiera profundizar en el aprendizaje de esta ciencia. Será un placer ayudaros en caso de que tengáis dudas frente algún problema, sin embargo, no realizamos un ejercicio que nos presentéis de 0 sin que hayáis si quiera intentado resolverlo. Ánimo, todo esfuerzo tiene su recompensa.
Factorización de un trinomio 2do grado
SRS. SUPERPROF.- CIENCIAS MATEMÁTICAS, REQUIERE DIFERENTES METODOLOGÍAS EN BIEN DE LOS EDUCANDOS. EL ESFUERZOS QUE VOSOTRO BRINDAN OBVIAMENTE ES EN BIEN DE NUESTRAS FUTURAS GENERACIONES. INFINITAS GRACIAS POR VUESTRAS HONORABLES DEDICACIONES. EN VERDAD, INFINITAS GRACIAS. DIOS LES ILUMINE POR SIEMPRE. BENDICIONES. AMEN.
2x+y-z=-1
X-2y+z=5
3x-y-2z=0
Me encuentro realizando los ejercicios de la pagina con mi hija a la cual le estoy explicando los metodos de resolucion geometricos y me encuentro con que dos de los ejercicios se los han calificado mal, las respuestas que tenemos son las misma ella y yo pues siguio los metodos paso a paso, pero nos encontramos con que el primer ejercicio califica la respuesta al reves y el segundo se la califica mal por no redondear el decimal… el segundo punto podria ser mas comprensible, pero el primero trajo a mi niña trantando de entender por que estaba mal durante 15 minutos hasta que vio que se le evaluava con los resultados cambiados, si el orden de los resultados importa para calificarlos, sean mas claros con donde los quieres pues el problema dice que el largo de un area es el triple del ancho del otro lado, en el largo pusimos la respuesta que es 3X = 131.25 y en ancho pusimos x que es 43.75, pues la pagina lo reviso como erroneo punoniendo que las cajas o las etiquetas del archivo html estan mal asignadas
Una disculpa ya se corrigió.
Hola con todo gusto te ayudamos, solo menciónanos algunos de los ejercicios que no entiendas y te podremos ayudar, puede ser uno de los ejercicios de los artículos o alguno que tu tengas.
Hola, con gusto te explicamos, podrías señalar cuales son las ecuaciones que no entiendes como se resolvieron y será un placer ayudarte.