Resuelve las siguientes cuestiones:
Sabiendo que la ecuación
tiene dos soluciones y que una de ellas es igual a
, determina el parámetro
.

Este campo es obligatorio.
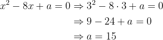
Sabemos que una solución de la ecuación es
, por lo cual sustituyendo en la ecuación planteada tenemos lo siguiente:

Sabiendo que la ecuación
tiene dos soluciones y que una de ellas es
, encuentra la otra solución sin calcular el parámetro
.

Este campo es obligatorio.
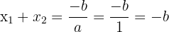
Llamemos a la otra solución
:
La suma
de las soluciones de la ecuación de segundo grado es
, por lo tanto tenemos la siguiente relación:

3 Dada la ecuación
. Determinar los valores de los coeficientes
y
, sabiendo que sus soluciones son
y
.

Este campo es obligatorio.

Este campo es obligatorio.
De la propiedad de la suma tenemos que

Sabemos que
y
, entonces

Por otro lado, de la propiedad del producto

entonces

4 Encontrar las raíces de la ecuación
.

Este campo es obligatorio.

Este campo es obligatorio.
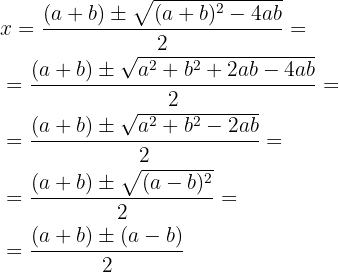
Calculamos las soluciones mediante la fórmula:

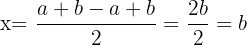
Por tanto, una solución es

Y la otra es

5 Encontrar los coeficientes de la ecuación de segundo grado que tenga por raíces
y
.

Este campo es obligatorio.

Este campo es obligatorio.

Este campo es obligatorio.
Tenemos que si conocemos las raíces
de una ecuación de segundo grado entonces podemos escribir esta como

donde

En este caso tenemos
y
, entonces

6 Encontrar la ecuación de segundo grado cuyas soluciones suman
y cuyo producto es
.

Este campo es obligatorio.

Este campo es obligatorio.

Este campo es obligatorio.
Si aplicamos lo obtenido en el ejercicio 4, tendremos que directamente que la ecuación es

7 Sea
ecuacion de segundo grado con solucion
. Encontrar el valor de
.

Este campo es obligatorio.
Sabemos que una solución de la ecuación es
, por lo cual sustituyendo en la ecuación planteada tenemos lo siguiente:

Si tienes dudas puedes consultar la teoría

Apuntes es una plataforma dirigida al estudio y la práctica de las matemáticas a través de la teoría y ejercicios interactivos que ponemos a vuestra disposición. Esta información está disponible para todo aquel/aquella que quiera profundizar en el aprendizaje de esta ciencia. Será un placer ayudaros en caso de que tengáis dudas frente algún problema, sin embargo, no realizamos un ejercicio que nos presentéis de 0 sin que hayáis si quiera intentado resolverlo. Ánimo, todo esfuerzo tiene su recompensa.
Factorización de un trinomio 2do grado
SRS. SUPERPROF.- CIENCIAS MATEMÁTICAS, REQUIERE DIFERENTES METODOLOGÍAS EN BIEN DE LOS EDUCANDOS. EL ESFUERZOS QUE VOSOTRO BRINDAN OBVIAMENTE ES EN BIEN DE NUESTRAS FUTURAS GENERACIONES. INFINITAS GRACIAS POR VUESTRAS HONORABLES DEDICACIONES. EN VERDAD, INFINITAS GRACIAS. DIOS LES ILUMINE POR SIEMPRE. BENDICIONES. AMEN.
2x+y-z=-1
X-2y+z=5
3x-y-2z=0
Me encuentro realizando los ejercicios de la pagina con mi hija a la cual le estoy explicando los metodos de resolucion geometricos y me encuentro con que dos de los ejercicios se los han calificado mal, las respuestas que tenemos son las misma ella y yo pues siguio los metodos paso a paso, pero nos encontramos con que el primer ejercicio califica la respuesta al reves y el segundo se la califica mal por no redondear el decimal… el segundo punto podria ser mas comprensible, pero el primero trajo a mi niña trantando de entender por que estaba mal durante 15 minutos hasta que vio que se le evaluava con los resultados cambiados, si el orden de los resultados importa para calificarlos, sean mas claros con donde los quieres pues el problema dice que el largo de un area es el triple del ancho del otro lado, en el largo pusimos la respuesta que es 3X = 131.25 y en ancho pusimos x que es 43.75, pues la pagina lo reviso como erroneo punoniendo que las cajas o las etiquetas del archivo html estan mal asignadas
Una disculpa ya se corrigió.
Hola con todo gusto te ayudamos, solo menciónanos algunos de los ejercicios que no entiendas y te podremos ayudar, puede ser uno de los ejercicios de los artículos o alguno que tu tengas.
Hola, con gusto te explicamos, podrías señalar cuales son las ecuaciones que no entiendes como se resolvieron y será un placer ayudarte.