Capítulos
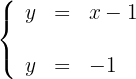
Sistemas de ecuaciones con solución única
Resolver los siguientes sistemas de ecuaciones empleando el método gráfico.

Para graficar una recta basta con conocer dos puntos y trazar la línea que los contiene.
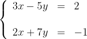
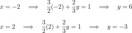
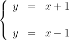
1Obtenemos dos puntos para cada una de las rectas, considerando la intersección con los ejes. Para la primera recta tenemos
Para la primera recta, los puntos de intersección con los ejes son
Para la segunda recta, los puntos de intersección con los ejes son 
Nosotros utilizamos la intersección con los ejes como los puntos para construirla recta, pero puedes considerar cualesquiera dos valores de
y obtener valores de
; después con una regla trazas la recta que pasa por ambos puntos, la recta que obtienes es la misma que presentamos.
2Representamos los puntos de intersección con los ejes en el plano cartesiano y con ayuda de una regla trazamos ambas rectas y localizamos el punto de intersección de ambas rectas

3La solución del sistema de ecuaciones es donde ambas rectas se intersectan, esto es,
. Observa que al sustituir nuestra solución en ambas ecuaciones, la igualdad no se satisface

pero son bastante aproximadas; esta es la dificultad que presenta el método gráfico.
Para obtener soluciones exactas se emplean los métodos analíticos de igualación, reducción, sustitución, entre otros. Empleando los métodos analíticos el resultado exacto es 

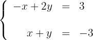
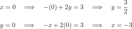
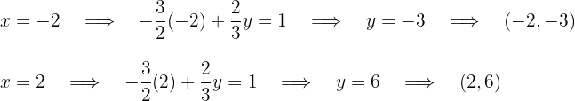
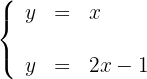
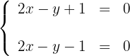
Para graficar una recta basta con conocer dos puntos y trazar la línea que los contiene.
1Obtenemos dos puntos para cada una de las rectas, considerando la intersección con los ejes. Para la primera recta tenemos

Para la primera recta, los puntos de intersección con los ejes son 
Para la segunda recta, los puntos de intersección con los ejes son

2Representamos los puntos de intersección con los ejes en el plano cartesiano y con ayuda de una regla trazamos ambas rectas y localizamos el punto de intersección de ambas rectas

3La solución del sistema de ecuaciones es donde ambas rectas se intersectan, esto es,
. Observa que en este caso, al sustituir nuestra solución en ambas ecuaciones, la igualdad se satisface, por lo que la solución obtenida es exacta


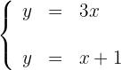
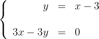
Para graficar una recta basta con conocer dos puntos y trazar la línea que los contiene.
1Obtenemos dos puntos para cada una de las rectas, considerando la intersección con los ejes. Para la primera recta tenemos

Para la primera recta, los puntos de intersección con los ejes son 
Para la segunda recta, los puntos de intersección con los ejes son

2Representamos los puntos de intersección con los ejes en el plano cartesiano y con ayuda de una regla trazamos ambas rectas y localizamos el punto de intersección de ambas rectas

3La solución del sistema de ecuaciones es donde ambas rectas se intersectan, esto es,
. Observa que al sustituir nuestra solución en ambas ecuaciones, la igualdad se satisface


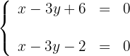
Para graficar una recta basta con conocer dos puntos y trazar la línea que los contiene.
1Obtenemos dos puntos para cada una de las rectas, considerando los valores
en ambas rectas. Para la primera recta tenemos

Para la primera recta, los puntos obtenidos son 
Para la segunda recta, los puntos obtenidos son

2Representamos los puntos de las rectas en el plano cartesiano, con ayuda de una regla trazamos ambas rectas y localizamos el punto de intersección de ambas rectas

3La solución del sistema de ecuaciones es donde ambas rectas se intersectan, esto es,
. Observa que al sustituir nuestra solución en ambas ecuaciones, la igualdad se satisface.

Para graficar una recta basta con conocer dos puntos y trazar la línea que los contiene.
1Obtenemos dos puntos para cada una de las rectas, considerando los valores
en la primera recta tenemos

Para la primera recta, los puntos obtenidos son 
Para la segunda recta consieramos los valores
, los puntos obtenidos son

2Representamos los puntos de las rectas en el plano cartesiano, con ayuda de una regla trazamos ambas rectas y localizamos el punto de intersección de ambas rectas

3La solución del sistema de ecuaciones es donde ambas rectas se intersectan, esto es,
. Observa que al sustituir nuestra solución en ambas ecuaciones, la igualdad se satisface.

Para graficar una recta basta con conocer dos puntos y trazar la línea que los contiene.
1Obtenemos dos puntos para cada una de las rectas, considerando los valores
en ambas rectas. Para la primera recta tenemos

Para la primera recta, los puntos obtenidos son 
Para la segunda recta, los puntos obtenidos son

2Representamos los puntos de las rectas en el plano cartesiano, con ayuda de una regla trazamos ambas rectas y localizamos el punto de intersección de ambas rectas

3La solución del sistema de ecuaciones es donde ambas rectas se intersectan, esto es,
. Observa que al sustituir nuestra solución en ambas ecuaciones, la igualdad se satisface.

Para graficar una recta basta con conocer dos puntos y trazar la línea que los contiene.
1Obtenemos dos puntos para cada una de las rectas, considerando los valores
en ambas rectas. Para la primera recta tenemos

Para la primera recta, los puntos obtenidos son 
Para la segunda recta, los puntos obtenidos son

2Representamos los puntos de las rectas en el plano cartesiano, con ayuda de una regla trazamos ambas rectas y localizamos el punto de intersección de ambas rectas

3La solución del sistema de ecuaciones es donde ambas rectas se intersectan, esto es,
. Observa que al sustituir nuestra solución en ambas ecuaciones, la igualdad se satisface.

Para graficar una recta basta con conocer dos puntos y trazar la línea que los contiene.
1Obtenemos dos puntos para cada una de las rectas, considerando los valores
en ambas rectas. Para la primera recta tenemos

Para la primera recta, los puntos obtenidos son 
Para la segunda recta, los puntos obtenidos son

2Representamos los puntos de las rectas en el plano cartesiano, con ayuda de una regla trazamos ambas rectas y localizamos el punto de intersección de ambas rectas

3La solución del sistema de ecuaciones es donde ambas rectas se intersectan, esto es,
. Observa que al sustituir nuestra solución en ambas ecuaciones, la igualdad se satisface.

Para graficar una recta basta con conocer dos puntos y trazar la línea que los contiene.
1Obtenemos dos puntos para cada una de las rectas, considerando los valores
en ambas rectas. Para la primera recta tenemos

Para la primera recta, los puntos obtenidos son 
Para la segunda recta, los puntos obtenidos son

2Representamos los puntos de las rectas en el plano cartesiano, con ayuda de una regla trazamos ambas rectas y localizamos el punto de intersección de ambas rectas

3La solución del sistema de ecuaciones es donde ambas rectas se intersectan, esto es,
. Observa que al sustituir nuestra solución en ambas ecuaciones, la igualdad se satisface.

Para graficar una recta basta con conocer dos puntos y trazar la línea que los contiene.
1Obtenemos dos puntos para cada una de las rectas, considerando los valores
en ambas rectas. Para la primera recta tenemos

Para la primera recta, los puntos obtenidos son 
Para la segunda recta, los puntos obtenidos son

2Representamos los puntos de las rectas en el plano cartesiano, con ayuda de una regla trazamos ambas rectas y localizamos el punto de intersección de ambas rectas

3La solución del sistema de ecuaciones es donde ambas rectas se intersectan, esto es,
. Observa que al sustituir nuestra solución en ambas ecuaciones, la igualdad se satisface.
Sistemas de ecuaciones sin solución
Resolver los siguientes sistemas de ecuaciones empleando el método gráfico.

Para graficar una recta basta con conocer dos puntos y trazar la línea que los contiene.
1Obtenemos dos puntos para cada una de las rectas, podemos hallar las intersecciones con los ejes o dar valores arbitrarios a
para obtener valores de
. En esta ocasión vamos a considerar los valores
para la primera recta
Para la primera recta, los puntos obtenidos son 
Para la segunda recta, considerando los valores
, los puntos obtenidos son

2Representamos los puntos de las rectas en el plano cartesiano, con ayuda de una regla trazamos ambas rectas y localizamos el punto de intersección de ambas rectas

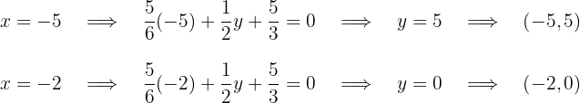
3No existe solución al sistema de ecuaciones, ya que ambas rectas son paralelas entre si y no hay punto de intersección entre ellas como se puede observar en la gráfica. Desde el punto de vista analítico, ambas rectas tienen la misma pendiente
.

Para graficar una recta basta con conocer dos puntos y trazar la línea que los contiene.
1Obtenemos dos puntos para cada una de las rectas, podemos hallar las intersecciones con los ejes o dar valores arbitrarios a
para obtener valores de
. En esta ocasión vamos a considerar los valores
para la primera recta
Para la primera recta, los puntos obtenidos son 
Para la segunda recta, considerando los valores
, los puntos obtenidos son

2Representamos los puntos de las rectas en el plano cartesiano, con ayuda de una regla trazamos ambas rectas y localizamos el punto de intersección de ambas rectas

3No existe solución al sistema de ecuaciones, ya que ambas rectas son paralelas entre si y no hay punto de intersección entre ellas como se puede observar en la gráfica. Desde el punto de vista analítico, ambas rectas tienen la misma pendiente
.

Para graficar una recta basta con conocer dos puntos y trazar la línea que los contiene.
1Obtenemos dos puntos para cada una de las rectas, podemos hallar las intersecciones con los ejes o dar valores arbitrarios a
para obtener valores de
. En esta ocasión vamos a considerar los valores
para la primera recta
Para la primera recta, los puntos obtenidos son 
Para la segunda recta, considerando los valores
, los puntos obtenidos son

2Representamos los puntos de las rectas en el plano cartesiano, con ayuda de una regla trazamos ambas rectas y localizamos el punto de intersección de ambas rectas

3No existe solución al sistema de ecuaciones, ya que ambas rectas son paralelas entre si y no hay punto de intersección entre ellas como se puede observar en la gráfica. Desde el punto de vista analítico, ambas rectas tienen la misma pendiente
.

Para graficar una recta basta con conocer dos puntos y trazar la línea que los contiene.
1Obtenemos dos puntos para cada una de las rectas, considerando los valores
en la primera recta tenemos
Para la primera recta, los puntos obtenidos son 
Para la segunda recta, considerando los valores
, los puntos obtenidos son

2Representamos los puntos de las rectas en el plano cartesiano, con ayuda de una regla trazamos ambas rectas y localizamos el punto de intersección de ambas rectas

3No existe solución al sistema de ecuaciones, ya que ambas rectas son paralelas entre si y no hay punto de intersección como se puede observar en la gráfica. Desde el punto de vista analítico, ambas rectas tienen la misma pendiente
.

Para graficar una recta basta con conocer dos puntos y trazar la línea que los contiene.
1Obtenemos dos puntos para cada una de las rectas, podemos hallar las intersecciones con los ejes o dar valores arbitrarios a
para obtener valores de
. En esta ocasión vamos a considerar los valores
para la primera recta
Para la primera recta, los puntos obtenidos son 
Para la segunda recta, considerando los valores
, los puntos obtenidos son

2Representamos los puntos de las rectas en el plano cartesiano, con ayuda de una regla trazamos ambas rectas y localizamos el punto de intersección de ambas rectas

3No existe solución al sistema de ecuaciones, ya que ambas rectas son paralelas entre si y no hay punto de intersección entre ellas como se puede observar en la gráfica. Desde el punto de vista analítico, ambas rectas tienen la misma pendiente
.
Sistemas de ecuaciones con infinitas soluciones
Resolver los siguientes sistemas de ecuaciones empleando el método gráfico.

Para graficar una recta basta con conocer dos puntos y trazar la línea que los contiene.
1Obtenemos dos puntos para cada una de las rectas, podemos hallar las intersecciones con los ejes o dar valores arbitrarios a
para obtener valores de
. En esta ocasión vamos a considerar los valores
para la primera recta
Para la primera recta, los puntos obtenidos son 
Para la segunda recta, considerando los valores
, los puntos obtenidos son

2Representamos los puntos de las rectas en el plano cartesiano, con ayuda de una regla trazamos ambas rectas y localizamos el punto de intersección de ambas rectas

3Existen infinitas soluciones, ya que las dos rectas son iguales y se intersectan en todos sus puntos.

Para graficar una recta basta con conocer dos puntos y trazar la línea que los contiene.
1Obtenemos dos puntos para cada una de las rectas, podemos hallar las intersecciones con los ejes o dar valores arbitrarios a
para obtener valores de
. En esta ocasión vamos a considerar los valores
para la primera recta
Para la primera recta, los puntos obtenidos son 
Para la segunda recta, considerando los valores
, los puntos obtenidos son

2Representamos los puntos de las rectas en el plano cartesiano, con ayuda de una regla trazamos ambas rectas y localizamos el punto de intersección de ambas rectas

3Existen infinitas soluciones, ya que las dos rectas son iguales y se intersectan en todos sus puntos.

Para graficar una recta basta con conocer dos puntos y trazar la línea que los contiene.
1Obtenemos dos puntos para cada una de las rectas, podemos hallar las intersecciones con los ejes o dar valores arbitrarios a
para obtener valores de
. En esta ocasión vamos a considerar los valores
para la primera recta
Para la primera recta, los puntos obtenidos son 
Para la segunda recta, considerando los valores
, los puntos obtenidos son

2Representamos los puntos de las rectas en el plano cartesiano, con ayuda de una regla trazamos ambas rectas y localizamos el punto de intersección de ambas rectas

3Existen infinitas soluciones, ya que las dos rectas son iguales y se intersectan en todos sus puntos.

Para graficar una recta basta con conocer dos puntos y trazar la línea que los contiene.
1Obtenemos dos puntos para cada una de las rectas, podemos hallar las intersecciones con los ejes o dar valores arbitrarios a
para obtener valores de
. En esta ocasión vamos a considerar los valores
para la primera recta
Para la primera recta, los puntos obtenidos son 
Para la segunda recta, considerando los valores
, los puntos obtenidos son

2Representamos los puntos de las rectas en el plano cartesiano, con ayuda de una regla trazamos ambas rectas y localizamos el punto de intersección de ambas rectas

3Existen infinitas soluciones, ya que las dos rectas son iguales y se intersectan en todos sus puntos.

Para graficar una recta basta con conocer dos puntos y trazar la línea que los contiene.
1Obtenemos dos puntos para cada una de las rectas, podemos hallar las intersecciones con los ejes o dar valores arbitrarios a
para obtener valores de
. En esta ocasión vamos a considerar los valores
para la primera recta
Para la primera recta, los puntos obtenidos son 
Para la segunda recta, considerando los valores
, los puntos obtenidos son

2Representamos los puntos de las rectas en el plano cartesiano, con ayuda de una regla trazamos ambas rectas y localizamos el punto de intersección de ambas rectas

3Existen infinitas soluciones, ya que las dos rectas son iguales y se intersectan en todos sus puntos.









Apuntes es una plataforma dirigida al estudio y la práctica de las matemáticas a través de la teoría y ejercicios interactivos que ponemos a vuestra disposición. Esta información está disponible para todo aquel/aquella que quiera profundizar en el aprendizaje de esta ciencia. Será un placer ayudaros en caso de que tengáis dudas frente algún problema, sin embargo, no realizamos un ejercicio que nos presentéis de 0 sin que hayáis si quiera intentado resolverlo. Ánimo, todo esfuerzo tiene su recompensa.
Factorización de un trinomio 2do grado
SRS. SUPERPROF.- CIENCIAS MATEMÁTICAS, REQUIERE DIFERENTES METODOLOGÍAS EN BIEN DE LOS EDUCANDOS. EL ESFUERZOS QUE VOSOTRO BRINDAN OBVIAMENTE ES EN BIEN DE NUESTRAS FUTURAS GENERACIONES. INFINITAS GRACIAS POR VUESTRAS HONORABLES DEDICACIONES. EN VERDAD, INFINITAS GRACIAS. DIOS LES ILUMINE POR SIEMPRE. BENDICIONES. AMEN.
2x+y-z=-1
X-2y+z=5
3x-y-2z=0
Me encuentro realizando los ejercicios de la pagina con mi hija a la cual le estoy explicando los metodos de resolucion geometricos y me encuentro con que dos de los ejercicios se los han calificado mal, las respuestas que tenemos son las misma ella y yo pues siguio los metodos paso a paso, pero nos encontramos con que el primer ejercicio califica la respuesta al reves y el segundo se la califica mal por no redondear el decimal… el segundo punto podria ser mas comprensible, pero el primero trajo a mi niña trantando de entender por que estaba mal durante 15 minutos hasta que vio que se le evaluava con los resultados cambiados, si el orden de los resultados importa para calificarlos, sean mas claros con donde los quieres pues el problema dice que el largo de un area es el triple del ancho del otro lado, en el largo pusimos la respuesta que es 3X = 131.25 y en ancho pusimos x que es 43.75, pues la pagina lo reviso como erroneo punoniendo que las cajas o las etiquetas del archivo html estan mal asignadas
Una disculpa ya se corrigió.
Y con a>1?
Hola podrías hacernos el favor de dar mas información como el número de ejercicio para poder resolver tu duda.
2x+y-z=-1
X-2y+z=5
3x-y-2z=0
Ecuaciones metodo Guss jordan
Hola soy David quisiera que me expliquen como se realizan las ecuaciones de 1er grado