¡Bienvenidos al emocionante mundo de los cuartiles en estadística! En esta serie de ejercicios, exploraremos una medida estadística clave que nos permite dividir y analizar datos en cuartos.
Los cuartiles son valores que dividen un conjunto de datos en cuatro partes iguales. Nos proporcionan información importante sobre la distribución de los datos y nos permiten comprender cómo se agrupan los valores alrededor de la mediana.
Estos ejercicios te guiarán a través de los conceptos y te desafiarán a aplicar tus conocimientos para encontrar los cuartiles en conjuntos de datos diversos. ¡Vamos a empezar!
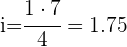
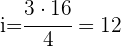
El primer cuartil de 
Selecciona una respuesta.
1 Ordenamos los datos de menor a mayor

2 Buscamos el lugar que ocupa el primer cuartil

3 Como el lugar obtenido no es entero, el entero inmediato mayor que
indica la posición del primer cuartil, esto es, 
4 Así, el primer cuartil es

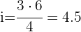
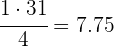
El tercer cuartil de
.
Selecciona una respuesta.
1 Ordenamos los datos de menor a mayor

2 Buscamos el lugar que ocupa el tercer cuartil

3 Como el lugar obtenido no es entero, el entero inmediato mayor que
indica la posición del tercer cuartil, esto es, 
4 Así, el tercer cuartil es

El segundo cuartil de
.
Selecciona una respuesta.
1 Ordenamos los datos de menor a mayor

2 Buscamos el lugar que ocupa el segundo cuartil

3 Como el lugar obtenido es entero, la posición del segundo cuartil es el promedio de los datos ubicados en los lugares 
4 Así, el segundo cuartil es

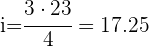
El número de horas que dedican los veintitrés alumnos de una clase a realizar un trabajo de investigación de Geometría son:
.
Selecciona una respuesta.
1 Ordenamos los datos de menor a mayor

2 Buscamos el lugar que ocupa el tercer cuartil

3 Como el lugar obtenido no es entero, el entero inmediato mayor que
indica la posición del tercer cuartil, esto es, 
4 Así, el tercer cuartil es

El segundo cuartil coincide con:
Selecciona una respuesta.
Coincide con la mediana, ya que al ordenar los datos se elige el dato intermedio y este corresponde al segundo cuartil.
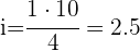
El primer cuartil de
.
Selecciona una respuesta.
1 Ordenamos los datos de menor a mayor

2 Buscamos el lugar que ocupa el primer cuartil

3 Como el lugar obtenido no es entero, el entero inmediato mayor que
indica la posición del primer cuartil, esto es, 
4 Así, el primer cuartil es

El tercer cuartil de
.
Selecciona una respuesta.
1 Ordenamos los datos de menor a mayor

2 Buscamos el lugar que ocupa el tercer cuartil

3 Como el lugar obtenido es entero, el tercer cuartil es el promedio de los valores ubicados en los lugares 
4 Así, el tercer cuartil es

El primer cuartil de la distribución estadística:
![]() | |
|---|---|
![]() | ![]() |
![]() | ![]() |
![]() | ![]() |
![]() | ![]() |
![]() | ![]() |
![]() | ![]() |
Selecciona una respuesta.
1 Ampliamos la tabla con otra columna donde disponemos la frecuencia acumulada
: En la primera casilla colocamos la primera frecuencia absoluta. En la segunda casilla sumamos el valor de la frecuencia acumulada anterior más la frecuencia absoluta correspondiente y así sucesivamente hasta la última, que tiene que se igual a
, de la siguiente manera:
![]() | ![]() | ||
|---|---|---|---|
![]() | ![]() | ![]() | |
![]() | ![]() | ![]() | |
![]() | ![]() | ![]() | |
![]() | ![]() | ![]() | |
![]() | ![]() | ![]() | |
![]() | ![]() | ![]() | |
![]() |
2Buscamos el intervalo donde se encuentra el primer cuartil, multiplicando 1 por
y dividiendo por 

3Buscamos en la columna de las frecuencias acumuladas
el intervalo que contiene a 
La clase de
es: [5, 10)
4Aplicaremos la fórmula para el cálculo de cuartiles para datos agrupados, extrayendo los siguientes datos:





El segundo cuartil de la distribución estadística:
![]() | |
|---|---|
![]() | ![]() |
![]() | ![]() |
![]() | ![]() |
![]() | ![]() |
![]() | ![]() |
![]() | ![]() |
Selecciona una respuesta.
1 Ampliamos la tabla con otra columna donde disponemos la frecuencia acumulada
: En la primera casilla colocamos la primera frecuencia absoluta. En la segunda casilla sumamos el valor de la frecuencia acumulada anterior más la frecuencia absoluta correspondiente y así sucesivamente hasta la última, que tiene que se igual a
, de la siguiente manera:
![]() | ![]() | ||
|---|---|---|---|
![]() | ![]() | ![]() | |
![]() | ![]() | ![]() | |
![]() | ![]() | ![]() | |
![]() | ![]() | ![]() | |
![]() | ![]() | ![]() | |
![]() | ![]() | ![]() | |
![]() |
2Buscamos el intervalo donde se encuentra el segundo cuartil, multiplicando 2 por
y dividiendo por 

3Buscamos en la columna de las frecuencias acumuladas
el intervalo que contiene a 
La clase de
es: [10, 15)
4Aplicaremos la fórmula para el cálculo de cuartiles para datos agrupados, extrayendo los siguientes datos:





El tercer cuartil de la distribución estadística:
![]() | |
|---|---|
![]() | ![]() |
![]() | ![]() |
![]() | ![]() |
![]() | ![]() |
![]() | ![]() |
![]() | ![]() |
Selecciona una respuesta.
1 Ampliamos la tabla con otra columna donde disponemos la frecuencia acumulada
: En la primera casilla colocamos la primera frecuencia absoluta. En la segunda casilla sumamos el valor de la frecuencia acumulada anterior más la frecuencia absoluta correspondiente y así sucesivamente hasta la última, que tiene que se igual a
, de la siguiente manera:
![]() | ![]() | ||
|---|---|---|---|
![]() | ![]() | ![]() | |
![]() | ![]() | ![]() | |
![]() | ![]() | ![]() | |
![]() | ![]() | ![]() | |
![]() | ![]() | ![]() | |
![]() | ![]() | ![]() | |
![]() |
2Buscamos el intervalo donde se encuentra el tercer cuartil, multiplicando 3 por
y dividiendo por 

3Buscamos en la columna de las frecuencias acumuladas
el intervalo que contiene a 
La clase de
es: [20, 25)
4Aplicaremos la fórmula para el cálculo de cuartiles para datos agrupados, extrayendo los siguientes datos:





Si tienes dudas puedes consultar la teoría
Resumir con IA:



















Apuntes es una plataforma dirigida al estudio y la práctica de las matemáticas a través de la teoría y ejercicios interactivos que ponemos a vuestra disposición. Esta información está disponible para todo aquel/aquella que quiera profundizar en el aprendizaje de esta ciencia. Será un placer ayudaros en caso de que tengáis dudas frente algún problema, sin embargo, no realizamos un ejercicio que nos presentéis de 0 sin que hayáis si quiera intentado resolverlo. Ánimo, todo esfuerzo tiene su recompensa.
Me gusto la dinámica solo que no pude completar lo ultimo
Hola nos alegra que te halla gustado la dinámica, si tienes una duda con confianza coméntalo y te responderemos.
en la realización de esta actividad vimos de manera clara toda la distribución de datos. en actividad de las diagramas de barra identificamos las categorías y los intervalos de mayor a menor frecuencia, ya que en la actividad de los polígonos llevamos acabo las tendencias y variables de todo el conjunto de datos. esto son las herramientas que mas utilizamos para hacer la interpretación de datos con la ayuda de ka estadística y hace la comparación de diversos grupos y variables.
Hola excelente resumen de lo que se analiza en el artículo, te felicitamos.
4. La tabla registra el ahorro mensual de s/. 100 mensuales. Completa la tabla y contesta.
a) ¿Cuál es la suma de la tercera y cuarta frecuencia absoluta acumulada?
b) ¿Cuántos estudiantes tienen ahorros mayores o iguales que S/. 20, pero menores que S/. 40?
c) ¿Qué porcentaje de estudiantes tienen ahorros menores que S/. 30?
d) ¿A qué intervalo pertenecen los ahorros de la mayoría de los estudiantes?
Lo unico que no me parecio del ejercicio es que al momento de redondear por ejemplo cuando el resultados es .155 asi fue como lo escribi pero me lo marcaba incorrecto, ya que pedia redondear a 16%
Entonces eso complico un poco a la hora de los resultados.
Hola entendemos tu frustración, pero como a veces sucede que algunos libros o maestros piden redondear y otros no, entonces se tomo este criterio que es mas generalizado.