Medianas de un triángulo
Recordemos que la mediana es aquel segmento que une el vértice del triángulo con el punto medio de su lado opuesto. Así, cada triángulo tiene tres medianas.

Ahora bien, el baricentro de un triángulo es el punto en el que se cruzan las medianas de la figura. También se le conoce como centroide y suele representarse con una
.

Si tenemos un triangulo cuyos vértices son
y
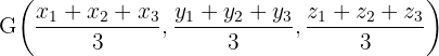
entonces las coordenadas del baricentro seran:
Ejemplos de ejercicios con medianas y baricentros
1 Sean
y
los vértices de un triángulo. Determinar las coordenadas del baricentro.
Utilizando la formula para las coordenadas del baricentro tendremos que
2 Dado el triángulo de vértices
y
, hallar:
- Las ecuaciones de las medianas del triángulo
- Las coordenadas del baricentro del triángulo.
- Las coordenadas del baricentro del triángulo cuyos vértices son los puntos medios de los lados del triángulo anterior.
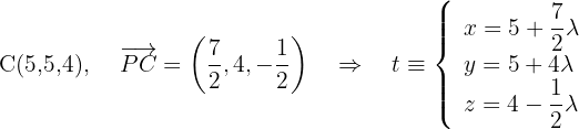
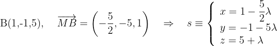
Ecuaciones de las medianas

Primero calculamos los puntos medios de cada lado del triangulo

Calculamos los tres vectores formados por los puntos medios
Y ahora calculamos la ecuación de las medianas utilizando un punto y un vector :
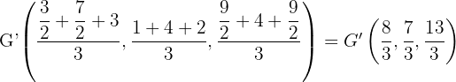
Coordenadas del baricentro
Utilizando la formula obtenemos que
Coordenadas del baricentro del triángulo cuyos vértices son los puntos medios de los lados del triángulo anterior
En este caso los vértices del triangulo son :
Por lo tanto, las coordenadas del baricentro son
Los baricentros de los dos triángulos coinciden.
Resumir con IA:









Apuntes es una plataforma dirigida al estudio y la práctica de las matemáticas a través de la teoría y ejercicios interactivos que ponemos a vuestra disposición. Esta información está disponible para todo aquel/aquella que quiera profundizar en el aprendizaje de esta ciencia. Será un placer ayudaros en caso de que tengáis dudas frente algún problema, sin embargo, no realizamos un ejercicio que nos presentéis de 0 sin que hayáis si quiera intentado resolverlo. Ánimo, todo esfuerzo tiene su recompensa.
Les felicito por su pedagogica web.
Podrian indicarme cual es la formula de las coordenadas del pie de una perpendicular por un punto (X1,Y1) a una recta Ax+By+c=0
Serian tan amables de enviarme dos formulas:
1) Formula de la pendiente de la bisectriz de 45º relacionada con las pendientes de los lados del angulo de 90º.
2) Formulas de las coordenadas del punto/pie de una perpendicular que pasa por el punto P(x0,y0) y una recta Ax+By+c=0.
Gracias de antemano.
M.Angel
En los ejercicios 7 y 8, trazar las rectas que pasan por el punto dado con la pendiente indicada. Dibujar en un mismo sistema de coordenadas.
Hola tu indicación es muy buena, vamos a ir mejorando para un mejor entendimiento.
Me puede ayudar con este problema
la pendiente de una recta que pasa por el punto A(3, 2) es igual a 3/4. situar dos puntos sobre esta recta que disten 5 unidades de A.
con su gráfica mas
Alguien me puede ayudar por favor necesito dar un examen para repasar y no me salen las respuestas
Hola con gusto te ayudamos, podrías mencionar específicamente con cual ejercicio podemos darte una mejor explicación.
Determinar las ecuaciones parametricas del plano x-2y+z-1=0
Hola, me sirvio mucho, con que informacion podria ponerlos como refernecia en mi proyecto?
Hola que bueno que la pagina te ayudo, podrías poner como pagina de internet «Materíal didactico-Superprof».