Los/las mejores profesores/as de Matemáticas que están disponibles
Haz de planos paralelos
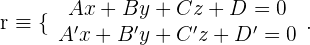
Dos planos son paralelos si los coeficientes de sus ecuaciones son proporcionales; pero no lo son sus términos independientes. Es decir, diremos que dos planos expresados en su forma general:


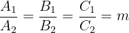
Son paralelos si se satisface que:
.
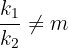
Además tienen la característica de que:
.
Ejemplo
Calcular la ecuación general del plano que pasa por el punto
y es paralelo a
.
- Para resolver utilicemos la relación descrita anteriormente:
.
- Sustituimos con los valores de los coeficientes de la ecuación
:
.
- Sin pérdida de generalidad podemos suponer que la constante
. Entonces tenemos:
.
- Por lo cual tenemos la ecuación
. Para obtener el valor de
, sustituimos en el punto dado en el planteamiento del problema:

- Finalmente, escribimos la ecuación del plano paralelo:

Haz de planos de eje r
Se denomina haz de planos de eje r al conjunto de todos los planos que contienen a la recta r.
- Si
viene definida por sus ecuaciones implícitas:

la ecuación del haz de planos de eje r viene dada por la igualdad:

- Si dividimos por
y hacemos
, la ecuación del haz resulta:
.
Ejemplo:
Calcular la ecuación del plano que pasa por el punto y pertenece al haz de planos de eje en la recta:
.
- Primero retomamos el resultado descrito anteriormente y sustituimos:
.
.
- Para calcular el valor de
, sustituimos usando la coordenada planteada al inicio del ejercicio, es decir
:



- Finalmente sustituimos:
.
.
Apuntes es una plataforma dirigida al estudio y la práctica de las matemáticas a través de la teoría y ejercicios interactivos que ponemos a vuestra disposición. Esta información está disponible para todo aquel/aquella que quiera profundizar en el aprendizaje de esta ciencia. Será un placer ayudaros en caso de que tengáis dudas frente algún problema, sin embargo, no realizamos un ejercicio que nos presentéis de 0 sin que hayáis si quiera intentado resolverlo. Ánimo, todo esfuerzo tiene su recompensa.
Me puede ayudar con este problema
la pendiente de una recta que pasa por el punto A(3, 2) es igual a 3/4. situar dos puntos sobre esta recta que disten 5 unidades de A.
con su gráfica mas
Alguien me puede ayudar por favor necesito dar un examen para repasar y no me salen las respuestas
Hola con gusto te ayudamos, podrías mencionar específicamente con cual ejercicio podemos darte una mejor explicación.
Determinar las ecuaciones parametricas del plano x-2y+z-1=0
Hola, me sirvio mucho, con que informacion podria ponerlos como refernecia en mi proyecto?
Hola que bueno que la pagina te ayudo, podrías poner como pagina de internet «Materíal didactico-Superprof».
– Hallar la ecuación de la recta en su forma simétrica que tiene pendiente igual a 3/2 y que intersecta al eje «y» en (0.2)