Elige la opción correcta en cada caso:
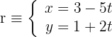
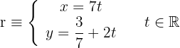
Calcula la ecuación vectorial de la recta r que pasa por los puntos A (-1, 0) y B (3, -4)
Selecciona una respuesta.
Para calcular la ecuación vectorial necesitamos un punto y un vector director de la recta.
Podemos elegir cualquiera de los dos puntos, por ejemplo, el (-1, 0). El vector director lo calculamos a partir de los dos puntos por los que pasa la recta:

Entonces la ecuación vectorial es

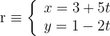
Calcula la ecuación paramétrica de la recta r que pasa por los puntos A (3, 1) y B (-2, 3)
Selecciona una respuesta.
Para calcular la ecuación paramétrica necesitamos un punto y un vector director de la recta.
Podemos elegir cualquiera de los dos puntos, por ejemplo, el (3, 1). El vector director lo calculamos a partir de los dos puntos por los que pasa la recta:

Entonces la ecuación paramétrica es:

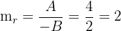
Calcula la ecuación punto-pendiente de la recta 
Selecciona una respuesta.
Para calcular la ecuación punto-pendiente de la recta necesitamos un punto y la pendiente de la recta.
Para hallar un punto de la recta damos un valor cualquiera a la x y despejamos la y:
Tomamos 
Entonces (0, 3) es un punto de la recta r.
El vector director de la recta viene dado por
. Y por tanto, su pendiente es

Sustituyendo el punto y la pendiente en la ecuación punto-pendiente de la recta tenemos:

Calcula la ecuación vectorial de la recta 
Selecciona una respuesta.
Para calcular la ecuación vectorial de la recta necesitamos un punto y el vector director de la recta.
Pasamos primero la recta a forma general:

Para hallar un punto de la recta damos un valor cualquiera a la x y despejamos la y:
Tomamos 
Entonces (1, 2) es un punto de la recta r.
El vector director de la recta viene dado por .
Sustituyendo el punto y el vector director en la ecuación vectorial de la recta queda la ecuación pedida:

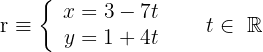
Calcula la ecuación punto-pendiente de la recta 
Selecciona una respuesta.
Para calcular la ecuación punto-pendiente necesitamos un punto y la pendiente de la recta.
A partir de las ecuaciones paramétricas de la recta, obtenemos un punto por el que pasa la recta, (3, 1), y el vector director
.
De aquí la pendiente es
.
Luego la ecuación pedida es:

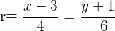
Calcula la ecuación segmentaria o canónica de la recta 
Selecciona una respuesta.
Empezamos pasando la recta a forma general:



Pasamos el término independiente al otro lado de la igualdad:

Dividimos ambos términos de la igualdad por el término independiente para que el término independiente sea 1.


Operando obtenemos la ecuación pedida:

Calcula la ecuación vectorial de la recta 
Selecciona una respuesta.
Empezamos pasando la recta a forma general:


Para calcular la ecuación vectorial necesitamos un punto y el vector director de la recta.
Para hallar un punto de la recta damos un valor cualquiera a la x y despejamos la y:
Tomamos 
Entonces (1, -2) es un punto de la recta r.
El vector director de la recta viene dado por 
Sustituyendo el punto y el vector director en la ecuación vectorial de la recta queda la ecuación pedida:
, 
Calcula la ecuación paramétrica de la recta 
Selecciona una respuesta.
Para calcular la ecuación paramétrica necesitamos un punto y el vector director de la recta.
Para hallar un punto de la recta damos un valor cualquiera a la x y despejamos la y:
Tomamos
Entonces 
El vector director de la recta viene dado por 
Sustituyendo el punto y el vector director en la ecuación paramétrica de la recta queda la ecuación pedida:

Si tienes dudas puedes consultar la teoría
Resumir con IA:

Apuntes es una plataforma dirigida al estudio y la práctica de las matemáticas a través de la teoría y ejercicios interactivos que ponemos a vuestra disposición. Esta información está disponible para todo aquel/aquella que quiera profundizar en el aprendizaje de esta ciencia. Será un placer ayudaros en caso de que tengáis dudas frente algún problema, sin embargo, no realizamos un ejercicio que nos presentéis de 0 sin que hayáis si quiera intentado resolverlo. Ánimo, todo esfuerzo tiene su recompensa.
Les felicito por su pedagogica web.
Podrian indicarme cual es la formula de las coordenadas del pie de una perpendicular por un punto (X1,Y1) a una recta Ax+By+c=0
Serian tan amables de enviarme dos formulas:
1) Formula de la pendiente de la bisectriz de 45º relacionada con las pendientes de los lados del angulo de 90º.
2) Formulas de las coordenadas del punto/pie de una perpendicular que pasa por el punto P(x0,y0) y una recta Ax+By+c=0.
Gracias de antemano.
M.Angel
En los ejercicios 7 y 8, trazar las rectas que pasan por el punto dado con la pendiente indicada. Dibujar en un mismo sistema de coordenadas.
Hola tu indicación es muy buena, vamos a ir mejorando para un mejor entendimiento.
Me puede ayudar con este problema
la pendiente de una recta que pasa por el punto A(3, 2) es igual a 3/4. situar dos puntos sobre esta recta que disten 5 unidades de A.
con su gráfica mas
Alguien me puede ayudar por favor necesito dar un examen para repasar y no me salen las respuestas
Hola con gusto te ayudamos, podrías mencionar específicamente con cual ejercicio podemos darte una mejor explicación.
Determinar las ecuaciones parametricas del plano x-2y+z-1=0
Hola, me sirvio mucho, con que informacion podria ponerlos como refernecia en mi proyecto?
Hola que bueno que la pagina te ayudo, podrías poner como pagina de internet «Materíal didactico-Superprof».