Definición de vectores y puntos coplanarios
Dos o más vectores son coplanarios si son linealmente dependientes, y por tanto sus componentes son proporcionales y su rango es 2.
Para que el rango sea igual a 2, el determinante de las componentes de los vectores ha de ser igual a cero.
La forma de calcular un determinante de una matriz de 3x3 es la siguiente:
Dos o más puntos son coplanarios, si los vectores determinados por ellos también son coplanarios.
Ejemplos propuestos
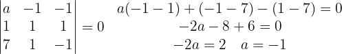
Comprobar si los puntos
y
son coplanarios.
Los puntos
y
son coplanarios si:








Por lo tanto,

Los puntos A, B, C, D y E no son coplanarios.
Determinar el valor de
para que los puntos
y
sean coplanarios.
Para que los puntos sean coplanarios, los vectores determinados por ellos también han de ser coplanarios, es decir, que el rango de los vectores sea 2.



Para que el rango sea igual a 2, el determinante de las componentes de los vectores ha de ser igual a cero.

Por medio determinante encontramos la ecuación a resolver.


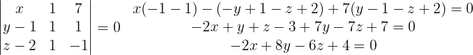
¿Qué en relación se ha de verificar entre los parámetros
y
para que los puntos
y
sean coplanarios?
Los puntos
y
son coplanarios si:




Buscamos que el determinante sea igual a 0


Por lo tanto, la condición para que los puntos sean coplanarios es:

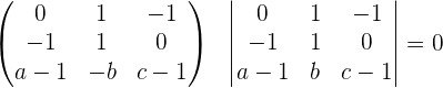
Calcular el valor de
para que los puntos
y
sean coplanarios. Calcular también la ecuación del plano que los contiene.
Los puntos son coplanares si:




Tenemos que resolver el siguiente siguiente determinante

Ahora vamos a calcular la ecuación del plano


Entonces la ecuación del plano es 
Resumir con IA:









Apuntes es una plataforma dirigida al estudio y la práctica de las matemáticas a través de la teoría y ejercicios interactivos que ponemos a vuestra disposición. Esta información está disponible para todo aquel/aquella que quiera profundizar en el aprendizaje de esta ciencia. Será un placer ayudaros en caso de que tengáis dudas frente algún problema, sin embargo, no realizamos un ejercicio que nos presentéis de 0 sin que hayáis si quiera intentado resolverlo. Ánimo, todo esfuerzo tiene su recompensa.
Les felicito por su pedagogica web.
Podrian indicarme cual es la formula de las coordenadas del pie de una perpendicular por un punto (X1,Y1) a una recta Ax+By+c=0
Serian tan amables de enviarme dos formulas:
1) Formula de la pendiente de la bisectriz de 45º relacionada con las pendientes de los lados del angulo de 90º.
2) Formulas de las coordenadas del punto/pie de una perpendicular que pasa por el punto P(x0,y0) y una recta Ax+By+c=0.
Gracias de antemano.
M.Angel
En los ejercicios 7 y 8, trazar las rectas que pasan por el punto dado con la pendiente indicada. Dibujar en un mismo sistema de coordenadas.
Hola tu indicación es muy buena, vamos a ir mejorando para un mejor entendimiento.
Me puede ayudar con este problema
la pendiente de una recta que pasa por el punto A(3, 2) es igual a 3/4. situar dos puntos sobre esta recta que disten 5 unidades de A.
con su gráfica mas
Alguien me puede ayudar por favor necesito dar un examen para repasar y no me salen las respuestas
Hola con gusto te ayudamos, podrías mencionar específicamente con cual ejercicio podemos darte una mejor explicación.
Determinar las ecuaciones parametricas del plano x-2y+z-1=0
Hola, me sirvio mucho, con que informacion podria ponerlos como refernecia en mi proyecto?
Hola que bueno que la pagina te ayudo, podrías poner como pagina de internet «Materíal didactico-Superprof».