La ecuación de la recta es una de las herramientas fundamentales en el álgebra y la geometría analítica. Su comprensión y aplicación son esenciales en diversas áreas de las matemáticas, como el análisis gráfico, la resolución de problemas geométricos y el modelado de situaciones reales.
En este conjunto de ejercicios resueltos, exploraremos las principales formas de representar una recta, como la ecuación punto-pendiente, la forma general y la forma explícita. A través de ejemplos prácticos, aprenderás a:
- Determinar la ecuación de una recta a partir de puntos dados.
- Interpretar la pendiente y la ordenada al origen en un contexto gráfico.
- Resolver problemas que involucran paralelismo, perpendicularidad y puntos pertenecientes a una recta.
Estos ejercicios están diseñados para reforzar tus conocimientos y proporcionarte una guía clara para aplicar los conceptos de manera efectiva. ¡Prepárate para aprender y desarrollar habilidades clave en geometría analítica!
Resuelve los siguientes ejercicios de rectas
Una recta pasa por el punto
y tiene un vector director
. Escribir su ecuación vectorial.
Una recta pasa por el punto
y tiene un vector director
. Escribir su ecuación vectorial.Su ecuación vectorial es:

Una recta pasa por el punto
y tiene un vector director
. Escribir sus ecuaciones paramétricas.
Una recta pasa por el punto
y tiene un vector director
.Escribir sus ecuaciones paramétricas.Sus ecuaciones paramétricas son:

Una recta pasa por el punto
y tiene un vector director
. Escribir su ecuación continua.
Una recta pasa por el punto
y tiene un vector director
.Escribir su ecuación continua.Su ecuación continua es:

Escribir la ecuación punto pendiente de:
a Una recta que pasa por el punto
y tiene un vector director
.
b Una recta que pasa por los puntos
y
.
c Una recta que pasa por
y tiene una inclinación de
.
a Una recta que pasa por el punto
y tiene un vector director
.

b Una recta que pasa por los puntos
y
.


c Una recta que pasa por
y tiene una inclinación de
.


Escribir la ecuación general de la recta que:
a Pasa por
y tiene como vector director
igual
.
b Pasa por
y tiene como pendiente
.
Escribir la ecuación general de la recta que:
a Pasa por
y tiene como vector director
igual
.



b Pasa por
y tiene como pendiente
.



Hallar la ecuación en forma explícita de la recta que pasa por
y tiene como pendiente
.
Hallar la ecuación en forma explícita de la recta que pasa por
y tiene como pendiente
.



Hallar la ecuación en forma explícita de la recta que pasa por
y tiene como pendiente
.
Hallar la ecuación en forma explícita de la recta que pasa por
y tiene como pendiente
.



Hallar la ecuación de la recta que pasa por
y
.
Hallar la ecuación de la recta que pasa por
y
.



Hallar la ecuación de la recta que pasa por
y tiene por ordenada al origen
.
Hallar la ecuación de la recta que pasa por
y tiene por ordenada al origen
.



Así, la ecuación de la recta es 
Escribe de todas las formas posibles la ecuación de la recta que pasa por los puntos
y
.
Escribe de todas las formas posibles la ecuación de la recta que pasa por los puntos
y
.

Ecuación que pasa por dos puntos


Ecuación vectorial

Ecuaciones paramétricas

Ecuación continua

Ecuación general

Ecuación explícita

Ecuación punto-pendiente

Hallar la pendiente y la ordenada en el origen de la recta
.
Hallar la pendiente y la ordenada en el origen de la recta
.



Estudiar la posición relativa de las rectas de ecuaciones:
a 
b 
c 
d 
e 
f 
Estudiar la posición relativa de las rectas de ecuaciones:
a 
b 
c 
d 
e 
f 
Las rectas
y
son coincidentes , porque todos sus coeficientes son proporcionales:

Las rectas
y
son paralelas, la
y
son paralelas, la
y
son paralelas, ya que existe proporcionalidad entre los coeficientes de
y de
, pero no en el término independiente.



¿Son secantes las rectas
y
? En caso afirmativo calcular el punto de corte.
¿Son secantes las rectas
y
? En caso afirmativo calcular el punto de corte.
por lo que sí son secantes

¿Son paralelas las rectas
y
?
¿Son paralelas las rectas
y
?
por lo que sí son paralelas
Clasificar el triángulo determinado por los puntos:
,
y
.
Clasificar el triángulo determinado por los puntos:
,
y
.




por lo que es Isósceles
por lo que es Rectángulo
Clasificar el triángulo determinado por los puntos:
,
y
.
Clasificar el triángulo determinado por los puntos:
,
y
.




Es un triángulo Isósceles
Es un triángulo Obtusángulo
De un paralelogramo
conocemos
,
,
. Halla las coordenadas del vértice
.
De un paralelogramo
conocemos
,
,
.Halla las coordenadas del vértice
.






Se tiene el cuadrilátero
cuyos vértices son
,
,
y
. Comprueba que es un paralelogramo y determina su centro y su área.
Se tiene el cuadrilátero
cuyos vértices son
,
,
y
.Comprueba que es un paralelogramo y determina su centro y su área.








Es un Paralelogramo
Las diagonales se cortan en el punto medio






De un paralelogramo se conoce un vértice,
, y el punto de corte de las dos diagonales,
. También sabemos que otro vértice se encuentra en el origen de coordenadas. Calcular:
a Los otros vértices.
b Las ecuaciones de las diagonales.
c La longitud de las diagonales.
De un paralelogramo se conoce un vértice,
, y el punto de corte de las dos diagonales,
. También sabemos que otro vértice se encuentra en el origen de coordenadas. Calcular:

a Los otros vértices.
es el punto medio de 

es el punto medio de 

b Las ecuaciones de las diagonales.
Ecuación de 

Ecuación de 

c La longitud de las diagonales.


Hallar la ecuación de la recta
, que pasa por
, y es paralela a la recta
.
Hallar la ecuación de la recta
, que pasa por
, y es paralela a la recta
.




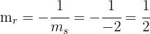
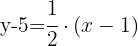
Hallar la ecuación de la recta
, que pasa por
, y es perpendicular a la recta
.
Hallar la ecuación de la recta
, que pasa por
, y es perpendicular a la recta
.




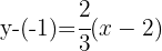
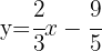
Hallar la ecuación de la recta que pasa por el punto
y es paralela a la recta que une los puntos
y
.
Hallar la ecuación de la recta que pasa por el punto
y es paralela a la recta que une los puntos
y
.




La recta
pasa por el punto
y es paralela a la recta
. Calcula
y
.
La recta
pasa por el punto
y es paralela a la recta
.Calcula
y
.




Dado el triángulo
, de coordenadas
,
y
; calcula la ecuación de la mediana que pasa por el vértice
.
Dado el triángulo
, de coordenadas
,
y
; calcula la ecuación de la mediana que pasa por el vértice
.



Los puntos
y
, son vértices de un triángulo isósceles
que tiene su vértice
en la recta
siendo
y
los lados iguales. Calcular las coordenadas del vértice
.
Los puntos
y
, son vértices de un triángulo isósceles
que tiene su vértice
en la recta
siendo
y
los lados iguales.Calcular las coordenadas del vértice
.








Si necesitas apoyo adicional, también puedes encontrar clases particulares de matematicas con un profesor quien se podrá adaptar a tus necesidades.
Resumir con IA:

Apuntes es una plataforma dirigida al estudio y la práctica de las matemáticas a través de la teoría y ejercicios interactivos que ponemos a vuestra disposición. Esta información está disponible para todo aquel/aquella que quiera profundizar en el aprendizaje de esta ciencia. Será un placer ayudaros en caso de que tengáis dudas frente algún problema, sin embargo, no realizamos un ejercicio que nos presentéis de 0 sin que hayáis si quiera intentado resolverlo. Ánimo, todo esfuerzo tiene su recompensa.
Les felicito por su pedagogica web.
Podrian indicarme cual es la formula de las coordenadas del pie de una perpendicular por un punto (X1,Y1) a una recta Ax+By+c=0
Serian tan amables de enviarme dos formulas:
1) Formula de la pendiente de la bisectriz de 45º relacionada con las pendientes de los lados del angulo de 90º.
2) Formulas de las coordenadas del punto/pie de una perpendicular que pasa por el punto P(x0,y0) y una recta Ax+By+c=0.
Gracias de antemano.
M.Angel
En los ejercicios 7 y 8, trazar las rectas que pasan por el punto dado con la pendiente indicada. Dibujar en un mismo sistema de coordenadas.
Hola tu indicación es muy buena, vamos a ir mejorando para un mejor entendimiento.
Me puede ayudar con este problema
la pendiente de una recta que pasa por el punto A(3, 2) es igual a 3/4. situar dos puntos sobre esta recta que disten 5 unidades de A.
con su gráfica mas
Alguien me puede ayudar por favor necesito dar un examen para repasar y no me salen las respuestas
Hola con gusto te ayudamos, podrías mencionar específicamente con cual ejercicio podemos darte una mejor explicación.
Determinar las ecuaciones parametricas del plano x-2y+z-1=0
Hola, me sirvio mucho, con que informacion podria ponerlos como refernecia en mi proyecto?
Hola que bueno que la pagina te ayudo, podrías poner como pagina de internet «Materíal didactico-Superprof».