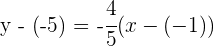
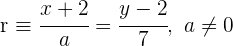
que pase por el punto 
Selecciona una respuesta.
1La pendiente de la recta que nos dan es
. Como tenemos que hallar una recta perpendicular a ésta, la pendiente de la nueva recta
es
.
2Como tenemos la pendiente de la recta que queremos calcular y un punto por el que pasa, podemos utilizar la ecuación punto-pendiente.

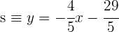
3Sustituimos los valores conocidos

4Obtenemos la recta
perperdicular a 

que pase por el punto 
Selecciona una respuesta.
1La pendiente de la recta que nos dan es
. Como tenemos que hallar una recta perpendicular a ésta, la pendiente de la nueva recta
es
.
2Como tenemos la pendiente de la recta que queremos calcular y un punto por el que pasa, podemos utilizar la ecuación punto-pendiente.

3Sustituimos los valores conocidos

4Obtenemos la recta
perperdicular a 

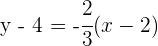
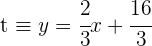
Calcula una recta perpendicular a
, que pasen por el punto 
Selecciona una respuesta.
1La pendiente de la recta que nos dan es
. Como tenemos que hallar una recta perpendicular a ésta, la pendiente de la nueva recta
es
.
2Como tenemos la pendiente de la recta que queremos calcular y un punto por el que pasa, podemos utilizar la ecuación punto-pendiente

3Sustituimos los valores conocidos

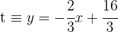
4Obtenemos la recta
perperdicular a 

y la recta
, perpendicular a
y que pasa por el punto
, se cortan en el punto de coordenadas:Selecciona una respuesta.
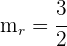
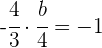
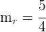
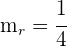
1La pendiente de la recta que nos dan es
. Como tenemos que hallar una recta perpendicular a ésta, la pendiente de la nueva recta
es
.
2Como tenemos la pendiente de la recta que queremos calcular y un punto por el que pasa, podemos utilizar la ecuación punto-pendiente.

3Sustituimos los valores conocidos

4Obtenemos la recta
perperdicular a 

5Obtenemos Resolvemos el sistema de ecuaciones de las rectas
y
, para esto igualamos las variables 

Despejando para
se obtiene 
Sustituyendo en la recta
, se obtiene 
Así, el punto de intersección es 
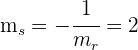
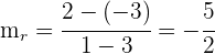
Comprueba si las rectas
y
son perpendiculares
Selecciona una respuesta.
1La pendiente de la recta
es
.
2La pendiente de la recta
es
.
3Dos rectas son perpendiculares si el producto de sus pendientes es igual a 
.
Luego las dos rectas son perpendiculares.
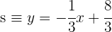
que pasa por los puntos
y
, y la recta
que pasa por los puntos
y
son perpendiculares entre siSelecciona una respuesta.
1La pendiente de la recta
es
.
2La pendiente de la recta
es
.
3Dos rectas son perpendiculares si el producto de sus pendientes es igual a 
.
Luego las dos rectas no son perpendiculares.
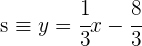
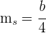
La recta perpendicular a la recta
que pasa por el punto
y la recta paralela a la recta
que pasa por el punto
se cortan en el punto de coordenadas:
Selecciona una respuesta.
1La pendiente de la recta que nos dan es
. Como tenemos que hallar una recta perpendicular a ésta, la pendiente de la nueva recta
es
.
2Como tenemos la pendiente de la recta que queremos calcular y un punto por el que pasa, podemos utilizar la ecuación punto-pendiente.

3Sustituimos los valores conocidos

4Obtenemos la recta
perperdicular a 

5La pendiente de la recta
es
, por lo que la pendiente de la recta
paralela a
es 
7Como tenemos la pendiente de la recta que queremos calcular y un punto por el que pasa, podemos utilizar la ecuación punto-pendiente.

8Sustituimos los valores conocidos

9Obtenemos la recta
paralela a 

10Resolvemos el sistema de ecuaciones de las rectas
y
, para esto igualamos las variables 

Despejando para
se obtiene 
Sustituyendo en la recta
, se obtiene 
Así, el punto de intersección es 
La recta perpendicular a la recta
que pasa por el punto
, es también:
Selecciona una respuesta.
1La pendiente de la recta que nos dan es
. Como tenemos que hallar una recta perpendicular a ésta, la pendiente de la
perpendicular a
y que para por
es
.
2Calculamos la pendiente de la recta que pasa por los puntos
y 
.
Luego la pendiente de cualquier recta paralela a
es 
3Calculamos la pendiente de la recta que pasa por los puntos
y 
.
Luego la pendiente de cualquier recta perpendicular a
es 
4Calculamos la pendiente de la recta que pasa por los puntos
y 
.
Luego la pendiente de cualquier recta paralela a
es 
5Se cumple que
, por lo que la recta
es paralela a la recta 
Calcula
para que las rectas
y
sean perpendiculares.
Este campo es obligatorio.
1La pendiente de las rectas que nos dan son
y
.
2Dos rectas son perpendiculares si el producto de sus pendiente es
.
.
3Despejando
se obtiene
.
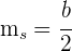
Calcula
para que las rectas
y
sean perpendiculares.
Este campo es obligatorio.
1Las pendientes de las rectas que nos dan son
y
.
2Dos rectas son perpendiculares si el producto de sus pendiente es
.
.
3Despejando
se obtiene
.
11Calcula
y
para que la recta
que pasa por el punto
y la recta
sean perpendiculares
Calcula
y
para que la recta
que pasa por el punto
y la recta
sean perpendiculares
,
Este campo es obligatorio.
para por la recta
, entonces podemos sustituir y obtener
.
2Las pendientes de las rectas que nos dan son
y
.
2Dos rectas son perpendiculares si el producto de sus pendiente es
.
.
3Despejando
se obtiene
.
Calcula
y
para que la recta
que pasa por el punto
y la recta
sean perpendiculares
,
Este campo es obligatorio.
1Como el punto
para por la recta
, entonces podemos sustituir y obtener 
.
2Las pendientes de las rectas que nos dan son
y
.
2Dos rectas son perpendiculares si el producto de sus pendiente es
.
.
3Despejando
se obtiene
.
Si tienes dudas puedes consultar la teoría
Resumir con IA:

Apuntes es una plataforma dirigida al estudio y la práctica de las matemáticas a través de la teoría y ejercicios interactivos que ponemos a vuestra disposición. Esta información está disponible para todo aquel/aquella que quiera profundizar en el aprendizaje de esta ciencia. Será un placer ayudaros en caso de que tengáis dudas frente algún problema, sin embargo, no realizamos un ejercicio que nos presentéis de 0 sin que hayáis si quiera intentado resolverlo. Ánimo, todo esfuerzo tiene su recompensa.
Les felicito por su pedagogica web.
Podrian indicarme cual es la formula de las coordenadas del pie de una perpendicular por un punto (X1,Y1) a una recta Ax+By+c=0
Serian tan amables de enviarme dos formulas:
1) Formula de la pendiente de la bisectriz de 45º relacionada con las pendientes de los lados del angulo de 90º.
2) Formulas de las coordenadas del punto/pie de una perpendicular que pasa por el punto P(x0,y0) y una recta Ax+By+c=0.
Gracias de antemano.
M.Angel
En los ejercicios 7 y 8, trazar las rectas que pasan por el punto dado con la pendiente indicada. Dibujar en un mismo sistema de coordenadas.
Hola tu indicación es muy buena, vamos a ir mejorando para un mejor entendimiento.
Me puede ayudar con este problema
la pendiente de una recta que pasa por el punto A(3, 2) es igual a 3/4. situar dos puntos sobre esta recta que disten 5 unidades de A.
con su gráfica mas
Alguien me puede ayudar por favor necesito dar un examen para repasar y no me salen las respuestas
Hola con gusto te ayudamos, podrías mencionar específicamente con cual ejercicio podemos darte una mejor explicación.
Determinar las ecuaciones parametricas del plano x-2y+z-1=0
Hola, me sirvio mucho, con que informacion podria ponerlos como refernecia en mi proyecto?
Hola que bueno que la pagina te ayudo, podrías poner como pagina de internet «Materíal didactico-Superprof».