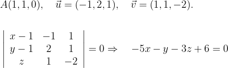
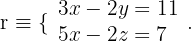
Hallar la ecuación del plano que pasa por el punto de intersección de la recta
con el plano
y es paralelo a las rectas:
Las ecuaciones continuas de la recta r se pasan a implícitas, y éstas junto a la ecuación del plano forman un sistema, cuya solución es el punto de intersección.

El plano viene determinado por el el punto de intersección y los vectores directores de las rectas paralelas al plano.

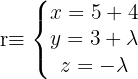
Hallar la ecuación de una recta que pasa por el punto
y se apoya en las rectas:
.
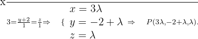
Obtenemos un punto genérico de la recta r.

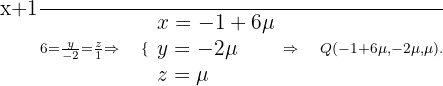
Obtenemos un punto genérico de la recta s.

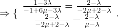
Calculamos la ecuación de la recta que pasa por P y Q.

Como la recta pasa por el punto
, tendremos:




Sustituimos estos dos valores en la ecuación de la recta:

Operamos y simplificamos.

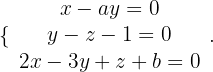
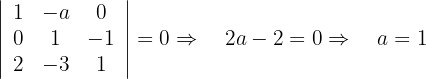
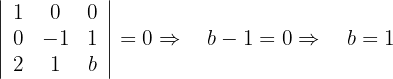
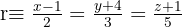
Hallar el valor de los parámetros a y b para que la recta
sea coincidente con el plano
.
Las ecuaciones continuas de la recta r se pasan a implícitas, y éstas junto a la ecuación del plano forman el sistema:


Para que la recta sea coincidente con el plano se tiene que cumplir que:

Por tanto el determinante de orden 3, de las dos matrices, se anula.


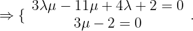
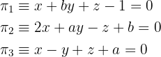
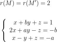
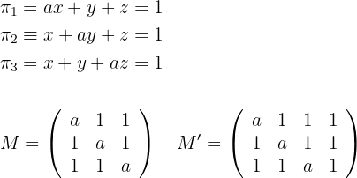
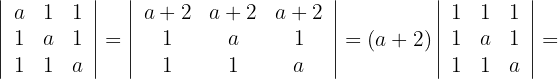
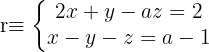
Calcula los valores de los parámetros
y
para que los planos:

pasen por una misma recta.
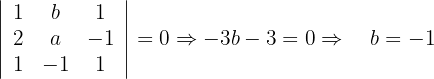
Para que los tres planos pasen por una misma recta tiene que ocurrir que:

Así bien,

De esta forma calculamos
:

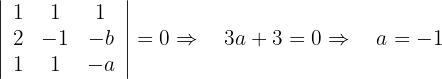
Y finalmente, calculamos
:

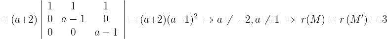
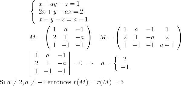
Estudiar para los diferentes valores de a la posición relativa de los siguientes planos:

En el determinante de la matriz de los coeficientes sumamos a la primera fila las otras dos y posteriormente sacamos factor común.

Restamos a cada fila la primera:

Por lo tanto los tres planos se cortan en un punto.
Además si
. Las tres ecuaciones son idénticas, por lo cual los tres planos son coincidentes.
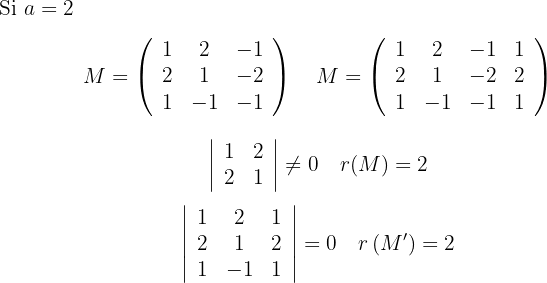
En cambio si 

Como no hay ningún par de planos paralelos, los tres planos se cortan dos a dos formando una superficie prismática.
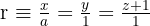
Estudiar las posiciones relativas del plano
y la recta 
según los valores del parámetro
.
Planteamos el sistema de ecuaciones:

La recta corta al plano en un solo punto.

La recta está contenida en el plano.

La recta es paralela al plano.
Determinar
para que la recta
no corte en el plano 
Primero recordemos que una recta y plano no se cortan si son paralelos.Para que una recta y un plano sean paralelos el producto escalar del vector director de la recta por el vector normal del plano es igual a 0.


Hallar los valores de
y
para que las rectas
y
.
Recordemos que si dos rectas son paralelas, sus vectores directores deben ser proporcionales:
.
Calcular el valor de k para que las rectas
y
se corten en un punto. Encontrar ese punto.
Primero, podemos reescribir la ecuación de la recta r, como la intersección de dos planos:

Después podemos considerar una de las ecuaciones definitorias de la recta
para construir un sistema de tres ecuaciones con tres incógnitas y calcular la intersección de los tres planos, es decir:

omo el punto obtenido debe satisfacer las cuatro ecuaciones de los planos podemos sustituir los valores de
y
, en la ecuación
para determinar
: 
Si quieres encontrar algunos cursos de matematicas, Superprof es tu sitio.
Resumir con IA:

Apuntes es una plataforma dirigida al estudio y la práctica de las matemáticas a través de la teoría y ejercicios interactivos que ponemos a vuestra disposición. Esta información está disponible para todo aquel/aquella que quiera profundizar en el aprendizaje de esta ciencia. Será un placer ayudaros en caso de que tengáis dudas frente algún problema, sin embargo, no realizamos un ejercicio que nos presentéis de 0 sin que hayáis si quiera intentado resolverlo. Ánimo, todo esfuerzo tiene su recompensa.
Les felicito por su pedagogica web.
Podrian indicarme cual es la formula de las coordenadas del pie de una perpendicular por un punto (X1,Y1) a una recta Ax+By+c=0
Serian tan amables de enviarme dos formulas:
1) Formula de la pendiente de la bisectriz de 45º relacionada con las pendientes de los lados del angulo de 90º.
2) Formulas de las coordenadas del punto/pie de una perpendicular que pasa por el punto P(x0,y0) y una recta Ax+By+c=0.
Gracias de antemano.
M.Angel
En los ejercicios 7 y 8, trazar las rectas que pasan por el punto dado con la pendiente indicada. Dibujar en un mismo sistema de coordenadas.
Hola tu indicación es muy buena, vamos a ir mejorando para un mejor entendimiento.
Me puede ayudar con este problema
la pendiente de una recta que pasa por el punto A(3, 2) es igual a 3/4. situar dos puntos sobre esta recta que disten 5 unidades de A.
con su gráfica mas
Alguien me puede ayudar por favor necesito dar un examen para repasar y no me salen las respuestas
Hola con gusto te ayudamos, podrías mencionar específicamente con cual ejercicio podemos darte una mejor explicación.
Determinar las ecuaciones parametricas del plano x-2y+z-1=0
Hola, me sirvio mucho, con que informacion podria ponerlos como refernecia en mi proyecto?
Hola que bueno que la pagina te ayudo, podrías poner como pagina de internet «Materíal didactico-Superprof».