Capítulos
En este resumen de ecuaciones de la recta encontrarás las distintas formas en que se representa la ecuación de la recta.
Tipos de ecuación de la recta
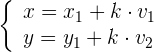
Ecuación vectorial de la recta

Ecuaciones paramétricas de la recta

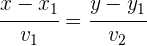
Ecuación continua de la recta

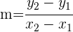
Representación de la pendiente
1Pendiente dado el ángulo

2Pendiente dado el vector director de la recta

3Pendiente dados dos puntos

Ecuación punto-pendiente de la recta

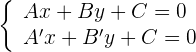
Ecuación general de la recta

Ecuación explícita de la recta

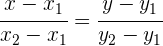
Ecuación de la recta que pasa por dos puntos

Rectas paralelas
1Dos rectas son paralelas si tienen el mismo vector director.

2Dos rectas son paralelas si las componentes de sus vectores directores o sus coeficientes son proporcionales.


3Dos rectas son paralelas si tienen la misma pendiente.

Rectas paralelas al eje OX

Rectas paralelas al eje OY

Rectas perpendiculares
1El vector
es perpendicular a la recta
.
2Si dos o rectas son perpendiculares tienen sus pendientes inversas y cambiadas de signo.

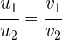
Posiciones relativas de dos rectas
Para dos rectas 
1 Si
, las rectas son secantes, se cortan en un punto.
2 Si
, las rectas paralelas, no se cortan en ningún punto.
3 Si
, las rectas son coincidentes, todos sus puntos son comunes.
Ángulo que forman dos rectas
Se llama ángulo de dos rectas al menor de los ángulos que forman éstas. Se pueden obtener a partir de:
1 Sus vectores directores

2 Sus pendientes

Distancia de un punto a una recta

Distancia entre rectas
Para hallar la distancia entre dos en rectas paralelas, se toma un punto cualquiera, P, de una de ellas y calcular su distancia a la otra recta.

Mediatriz y Bisectriz
Ecuación de la mediatriz
Para hallar la ecuación de la mediatriz de un segmento de extremos
y
se emplea la fórmula

Ecuaciones de las bisectrices
Para hallar la ecuación de la bisectriz del ángulo formado por las rectas
y
se emplea la fórmula

Resumir con IA:









Apuntes es una plataforma dirigida al estudio y la práctica de las matemáticas a través de la teoría y ejercicios interactivos que ponemos a vuestra disposición. Esta información está disponible para todo aquel/aquella que quiera profundizar en el aprendizaje de esta ciencia. Será un placer ayudaros en caso de que tengáis dudas frente algún problema, sin embargo, no realizamos un ejercicio que nos presentéis de 0 sin que hayáis si quiera intentado resolverlo. Ánimo, todo esfuerzo tiene su recompensa.
Les felicito por su pedagogica web.
Podrian indicarme cual es la formula de las coordenadas del pie de una perpendicular por un punto (X1,Y1) a una recta Ax+By+c=0
Serian tan amables de enviarme dos formulas:
1) Formula de la pendiente de la bisectriz de 45º relacionada con las pendientes de los lados del angulo de 90º.
2) Formulas de las coordenadas del punto/pie de una perpendicular que pasa por el punto P(x0,y0) y una recta Ax+By+c=0.
Gracias de antemano.
M.Angel
En los ejercicios 7 y 8, trazar las rectas que pasan por el punto dado con la pendiente indicada. Dibujar en un mismo sistema de coordenadas.
Hola tu indicación es muy buena, vamos a ir mejorando para un mejor entendimiento.
Me puede ayudar con este problema
la pendiente de una recta que pasa por el punto A(3, 2) es igual a 3/4. situar dos puntos sobre esta recta que disten 5 unidades de A.
con su gráfica mas
Alguien me puede ayudar por favor necesito dar un examen para repasar y no me salen las respuestas
Hola con gusto te ayudamos, podrías mencionar específicamente con cual ejercicio podemos darte una mejor explicación.
Determinar las ecuaciones parametricas del plano x-2y+z-1=0
Hola, me sirvio mucho, con que informacion podria ponerlos como refernecia en mi proyecto?
Hola que bueno que la pagina te ayudo, podrías poner como pagina de internet «Materíal didactico-Superprof».