Elige la opción correcta en cada caso:
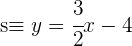
Calcula una recta paralela a la recta
que pase por el punto 
Selecciona una respuesta.
La pendiente de la recta
es
.
Como tenemos que hallar una recta paralela a ésta, sus pendientes han de coincidir.
Así que la pendiente de la nueva recta
es también 
Como tenemos la pendiente de la recta que queremos calcular y un punto por el que pasa, podemos utilizar la ecuación punto-pendiente.



Por lo tanto tenemos que

Calcula una recta paralela a la recta
que pase por el punto 
Selecciona una respuesta.
La pendiente de la recta
es
.
Como tenemos que hallar una recta paralela a ésta, sus pendientes han de coincidir.
Así que la pendiente de la nueva recta
es también
.
Como tenemos la pendiente de la recta que queremos calcular y un punto por el que pasa, podemos utilizar la ecuación punto-pendiente.



Por lo tanto tenemos que

Calcula una recta paralela a la recta
que pase por el punto 
Selecciona una respuesta.
La recta
viene dada por su ecuación general, para conocer cuál es su pendiente tenemos que pasarla a forma explícita.
Para ello basta despejar la y:

La pendiente de la recta
es
. Como tenemos que hallar una recta paralela a ésta, sus pendientes han de coincidir.
Así que la pendiente de la recta
, paralela a la recta
, es también
.
Como tenemos la pendiente de la recta que queremos calcular y un punto por el que pasa, podemos utilizar la ecuación punto-pendiente.


Por lo tanto tenemos que 
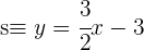
La recta paralela a la recta
que pasa por el punto
, también pasa por el punto:
Selecciona una respuesta.
La recta
viene dada por su ecuación general, para conocer cuál es su pendiente tenemos que pasarla a forma explícita.
Para ello basta despejar la
:

La pendiente de la recta
es
.
Como tenemos que hallar una recta paralela a ésta, sus pendientes han de coincidir. Así que la pendiente de la recta
, paralela a la recta
, es también
.
Como tenemos la pendiente de la recta que queremos calcular y un punto por el que pasa, podemos utilizar la ecuación punto-pendiente.



Por lo tanto tenemos que 
Sustituyendo las coordenadas de los puntos en la recta, tenemos: 

Así que la recta
también pasa por el punto
.
Podemos comprobar que la recta
no pasa por los otros dos puntos:




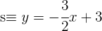
Comprueba si las rectas
y
son paralelas
Selecciona una respuesta.
Para que las rectas
y
sean paralelas, sus coeficientes tienen que ser proporcionales.
Tenemos que

Dado
los coeficientes son proporcionales, así que las rectas
y
son paralelas.
Entre estas rectas, ¿cuál no es paralela a las otras dos?
,
, 
Selecciona una respuesta.
Para que dos rectas sean paralelas, sus pendientes han de coincidir.
Calculemos las pendientes de las tres rectas y veamos cuáles coinciden:



La pendiente de la recta
es
, la pendiente de la recta
es
y finalmente la pendiente de
es
.
Entonces las rectas paralelas son:
, 
Comprueba si las rectas
y
pasa por los puntos
y
, son paralelas
Selecciona una respuesta.
Para que las rectas sean paralelas, sus pendientes han de coincidir.
Calculamos las pendientes de las rectas y vemos si coinciden.
Para hallar la pendiente de la recta
, la pasamos primero a forma explícita: 
La pendiente de la recta r es
.
La recta
que pasa por los puntos
y
, tiene pendiente:

Como ambas pendientes coinciden, las rectas son paralelas.
Comprueba si las rectas r: pasa por los puntos
y
y s: pasa por los puntos
y
, son paralelas
Selecciona una respuesta.
Para que las rectas
y
sean paralelas, sus pendientes han de coincidir.
Calculamos las pendientes de las rectas y vemos si coinciden.
La recta
que pasa por los puntos
y
, tiene pendiente:

La recta s que pasa por los puntos
y
, tiene pendiente:

Como las pendientes de ambas rectas no coinciden, las rectas no son paralelas.
Contesta a las siguientes cuestiones:
Calcula
para que las rectas
y
sean paralelas.
=
Este campo es obligatorio.
Para que las rectas
y
sean paralelas, sus pendientes deben coincidir.
Calculamos las pendientes de ambas rectas, las igualamos y despejamos el valor de
.
La recta
viene dada por su ecuación general, para conocer cuál es su pendiente tenemos que pasarla a forma explícita.
Para ello basta despejar la
:

La pendiente de la recta
es 
Análogamente, hallamos la pendiente de la recta
:

La pendiente de la recta
es 
Igualamos las pendientes y despejamos el valor de
:

Calcula k para que las rectas
y
.
=
Este campo es obligatorio.
La pendiente de la recta
es
.
La recta
viene dada por su ecuación continua, para conocer cuál es su pendiente tenemos que pasarla a forma explícita.

La pendiente de la recta
es
.
Igualando las pendientes tenemos que
.
Calcula
y
para que la recta
que pasa por el punto
y la recta
sean paralelas
= ,
=
Este campo es obligatorio.
Como la recta
pasa por el punto
, sustituimos las coordenadas del punto en la recta y despejamos el valor de
:

La ecuación de la recta
en forma explícita es:



La pendiente de la recta
es
.
Pasamos la recta
a forma explícita y hallamos su pendiente.

La pendiente de la recta
es
.
Como las rectas
y
tienen que ser paralelas, sus pendientes deben ser iguales.
Igualamos las pendientes de ambas rectas y obtenemos así el valor de
:

Calcula
y
para que la recta
,
que pasa por el punto
y la recta
sean paralelas
= ,
=
Este campo es obligatorio.
La ecuación de la recta
viene dada en forma continua.
Pasémosla a forma general: 

Como la recta
pasa por el punto
, sustituimos las coordenadas del punto en la recta y obtenemos el valor de
:


La ecuación en forma explícita de la recta
es entonces:



La pendiente de la recta
es
.
Pasamos ahora la recta
a forma explícita y hallamos su pendiente.

La pendiente de la recta
es
.
Como las rectas tienen que ser paralelas, sus pendientes deben ser iguales.
Igualamos las pendientes de ambas rectas y obtenemos así el valor de b:

Si tienes dudas puedes consultar la teoría
Resumir con IA:

Apuntes es una plataforma dirigida al estudio y la práctica de las matemáticas a través de la teoría y ejercicios interactivos que ponemos a vuestra disposición. Esta información está disponible para todo aquel/aquella que quiera profundizar en el aprendizaje de esta ciencia. Será un placer ayudaros en caso de que tengáis dudas frente algún problema, sin embargo, no realizamos un ejercicio que nos presentéis de 0 sin que hayáis si quiera intentado resolverlo. Ánimo, todo esfuerzo tiene su recompensa.
Les felicito por su pedagogica web.
Podrian indicarme cual es la formula de las coordenadas del pie de una perpendicular por un punto (X1,Y1) a una recta Ax+By+c=0
Serian tan amables de enviarme dos formulas:
1) Formula de la pendiente de la bisectriz de 45º relacionada con las pendientes de los lados del angulo de 90º.
2) Formulas de las coordenadas del punto/pie de una perpendicular que pasa por el punto P(x0,y0) y una recta Ax+By+c=0.
Gracias de antemano.
M.Angel
En los ejercicios 7 y 8, trazar las rectas que pasan por el punto dado con la pendiente indicada. Dibujar en un mismo sistema de coordenadas.
Hola tu indicación es muy buena, vamos a ir mejorando para un mejor entendimiento.
Me puede ayudar con este problema
la pendiente de una recta que pasa por el punto A(3, 2) es igual a 3/4. situar dos puntos sobre esta recta que disten 5 unidades de A.
con su gráfica mas
Alguien me puede ayudar por favor necesito dar un examen para repasar y no me salen las respuestas
Hola con gusto te ayudamos, podrías mencionar específicamente con cual ejercicio podemos darte una mejor explicación.
Determinar las ecuaciones parametricas del plano x-2y+z-1=0
Hola, me sirvio mucho, con que informacion podria ponerlos como refernecia en mi proyecto?
Hola que bueno que la pagina te ayudo, podrías poner como pagina de internet «Materíal didactico-Superprof».