Bisectriz de un ángulo
La Bisectriz de un ángulo es el lugar geométrico de los puntos del plano que equidistan de las rectas que forman el ángulo.

Ecuaciones de las bisectrices
Para encontrar la ecuación de la bisectriz de un ángulo, consideramos dos rectas que forman el ángulo


También consideramos un punto sobre la bisectriz 
De la definición de bisectriz se tiene que la distancia del punto
a las rectas
es la misma

Así, la ecuación de las bisectrices, se obtiene de resolver la siguiente ecuación

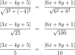
Ejemplo: Hallar las ecuaciones de las bisectrices de los ángulos que determinan las rectas
y 
Sustituimos los datos en la ecuación que se utiliza para obtener las bisectrices

Resolvemos los denominadores

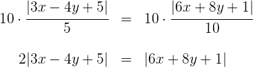
Multiplicamos ambos lados de la ecuación por

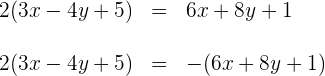
De la ecuación con valor absoluto, se obtienen dos ecuaciones lineales

Resolvemos la primera ecuación

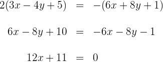
Resolvemos la segunda ecuación

Así, las ecuaciones de las bisectrices de los ángulos formados por las rectas
son


Resumir con IA:









Apuntes es una plataforma dirigida al estudio y la práctica de las matemáticas a través de la teoría y ejercicios interactivos que ponemos a vuestra disposición. Esta información está disponible para todo aquel/aquella que quiera profundizar en el aprendizaje de esta ciencia. Será un placer ayudaros en caso de que tengáis dudas frente algún problema, sin embargo, no realizamos un ejercicio que nos presentéis de 0 sin que hayáis si quiera intentado resolverlo. Ánimo, todo esfuerzo tiene su recompensa.
Les felicito por su pedagogica web.
Podrian indicarme cual es la formula de las coordenadas del pie de una perpendicular por un punto (X1,Y1) a una recta Ax+By+c=0
Serian tan amables de enviarme dos formulas:
1) Formula de la pendiente de la bisectriz de 45º relacionada con las pendientes de los lados del angulo de 90º.
2) Formulas de las coordenadas del punto/pie de una perpendicular que pasa por el punto P(x0,y0) y una recta Ax+By+c=0.
Gracias de antemano.
M.Angel
En los ejercicios 7 y 8, trazar las rectas que pasan por el punto dado con la pendiente indicada. Dibujar en un mismo sistema de coordenadas.
Hola tu indicación es muy buena, vamos a ir mejorando para un mejor entendimiento.
Me puede ayudar con este problema
la pendiente de una recta que pasa por el punto A(3, 2) es igual a 3/4. situar dos puntos sobre esta recta que disten 5 unidades de A.
con su gráfica mas
Alguien me puede ayudar por favor necesito dar un examen para repasar y no me salen las respuestas
Hola con gusto te ayudamos, podrías mencionar específicamente con cual ejercicio podemos darte una mejor explicación.
Determinar las ecuaciones parametricas del plano x-2y+z-1=0
Hola, me sirvio mucho, con que informacion podria ponerlos como refernecia en mi proyecto?
Hola que bueno que la pagina te ayudo, podrías poner como pagina de internet «Materíal didactico-Superprof».