Hallar el valor de los parámetros
y
para que la recta
sea coincidente con el plano 
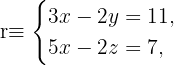
Las ecuaciones continuas de la recta
se pasan a implícitas, y éstas junto a la ecuación del plano forman el sistema:
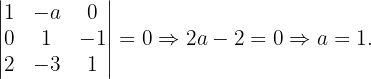
Sea
la matriz del sistema y
la matriz aumentada 
Para que la recta sea coincidente con el plano se tiene que cumplir que:

Por tanto el determinante de orden 3, de las dos matrices, se anula.


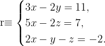
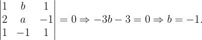
Calcula los valores de los parámetros
y
para que los planos:

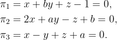
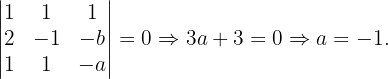
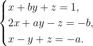
Formamos el siguiente sistema de ecuaciones con los tres planos:
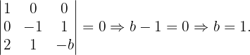
Sea
la matriz del sistema y
la matriz aumentada 
Para que la recta sea coincidente con el plano se tiene que cumplir que:

Por tanto el determinante de orden 3, de las dos matrices, se anula.

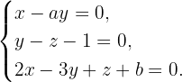
Determinar
para que la recta
no corte el plano 
Para que una recta y un plano sean paralelos el producto escalar del vector director de la recta por el vector normal del plano es igual a 0.
En este caso el vector director y el vector normal son
Al realizar el producto escalar obtenemos que:

Hallar los valores de
y
para que la rectas
y
sean paralelas.
Si dos rectas son paralelas, sus vectores directores deben ser proporcionales.
Como vectores directores tenemos a 
Dichos vectores entonces deben cumplir la siguiente relación 
Por simple inspección de los posibles valores obtenemos que 
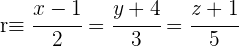
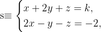
Calcular el valor de
para que las rectas
y
se corten en un punto. Encontrar ese punto.
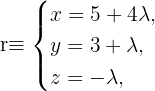
Las ecuaciones continuas de la recta
se pasan a implícitas,
con estas ecuaciones y una de las ecuaciones de la recta
formamos el siguiente sistema 
Si
denota la
-ésima fila del sistema, entonces al realizar las siguientes operaciones con las filas,
,
,
obtenemos que 
Reemplazando estos valores en la otra ecuación de la recta
concluimos que

Resumir con IA:

Apuntes es una plataforma dirigida al estudio y la práctica de las matemáticas a través de la teoría y ejercicios interactivos que ponemos a vuestra disposición. Esta información está disponible para todo aquel/aquella que quiera profundizar en el aprendizaje de esta ciencia. Será un placer ayudaros en caso de que tengáis dudas frente algún problema, sin embargo, no realizamos un ejercicio que nos presentéis de 0 sin que hayáis si quiera intentado resolverlo. Ánimo, todo esfuerzo tiene su recompensa.
Les felicito por su pedagogica web.
Podrian indicarme cual es la formula de las coordenadas del pie de una perpendicular por un punto (X1,Y1) a una recta Ax+By+c=0
Serian tan amables de enviarme dos formulas:
1) Formula de la pendiente de la bisectriz de 45º relacionada con las pendientes de los lados del angulo de 90º.
2) Formulas de las coordenadas del punto/pie de una perpendicular que pasa por el punto P(x0,y0) y una recta Ax+By+c=0.
Gracias de antemano.
M.Angel
En los ejercicios 7 y 8, trazar las rectas que pasan por el punto dado con la pendiente indicada. Dibujar en un mismo sistema de coordenadas.
Hola tu indicación es muy buena, vamos a ir mejorando para un mejor entendimiento.
Me puede ayudar con este problema
la pendiente de una recta que pasa por el punto A(3, 2) es igual a 3/4. situar dos puntos sobre esta recta que disten 5 unidades de A.
con su gráfica mas
Alguien me puede ayudar por favor necesito dar un examen para repasar y no me salen las respuestas
Hola con gusto te ayudamos, podrías mencionar específicamente con cual ejercicio podemos darte una mejor explicación.
Determinar las ecuaciones parametricas del plano x-2y+z-1=0
Hola, me sirvio mucho, con que informacion podria ponerlos como refernecia en mi proyecto?
Hola que bueno que la pagina te ayudo, podrías poner como pagina de internet «Materíal didactico-Superprof».