Capítulos
Recordatorio
Un punto
pertenece a una recta de ecuación
, cuando las coordenadas del punto satisfacen la igualdad:
Cuando un punto P pertenece a una recta r se dice que r incide en P o que r pasa por P.
Ejercicios propuestos
Determina si el punto
incide con la recta 
Determina si el punto
incide con la recta 
1 Sustituimos el punto P en la ecuación de la recta r y verificamos si se cumple la igualdad




2 Como la igualdad se cumple, el punto P incide con la recta r
Determina si el punto
incide con la recta 
Determina si el punto
incide con la recta 
1 Sustituimos el punto P en la ecuación de la recta r y verificamos si se cumple la igualdad




2 Como la igualdad no se cumple, el punto P no incide con la recta r
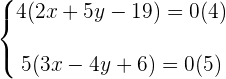
Encuentra el punto en que las rectas
y
inciden
Encuentra el punto en que las rectas
y
inciden
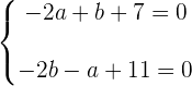
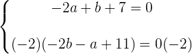
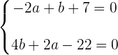
1 Planteamos un sistema de ecuaciones con las rectas
y 

2 Resolveremos el sistema por el método de Reducción. Para ello, multiplicamos por 4 a
y por 5 a 


3 Sumamos ambas ecuaciones

4 Despejamos a 'x'

5 Sustituimos el valor de 'x' en cualquiera de las ecuaciones, en este caso lo sustituiremos en
, y despejamos a 'y'



Las rectas
y
inciden en el punto 
Encuentra el punto en que las rectas
y
inciden
Encuentra el punto en que las rectas
y
inciden
1 Planteamos un sistema de ecuaciones con las rectas
y 

2 Resolveremos el sistema por el método de Reducción. Para ello, multiplicamos por 3 a 


3 Sumamos ambas ecuaciones

4 Como todos los términos se cancelan significa que las rectas tienen una infinidad de puntos de incidencia. Para encontrar al menos 1 de ellos le podemos asignar un valor a una de las variables y despejar la otra, de cualquier ecuación. Por ejemplo, sustituyamos
en 


Uno de los puntos de incidencia de las rectas
y
es 
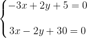
Encuentra el punto en que las rectas
y
inciden
Encuentra el punto en que las rectas
y
inciden
1 Planteamos un sistema de ecuaciones con las rectas
y 

2 Resolveremos el sistema por el método de Reducción. Para ello, multiplicamos por -1 a 


3 Sumamos ambas ecuaciones

Como llegamos a una inconsistencia, las rectas
y
no tienen puntos de incidencia.
Calcula el valor de 'a' para que la recta
incida con el punto 
Calcula el valor de 'a' para que la recta
incida con el punto 
1 Sustituimos el punto
en 

2 Despejamos a 'a'



Calcula el valor de 'a' para que la recta
incida con el punto 
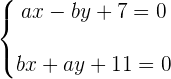
Calcula los valores de 'a' y 'b' para que las rectas
incida con la recta
en el punto 
1 Sustituimos el punto
en
y
y planteamos un sistema de ecuaciones


2 Multiplicamos por -2 la segunda ecuación


3 Sumamos las dos ecuaciones y despejamos a 'b'


4 Sustituimos b=3 en la primer ecuación y despejamos a 'a'


En una granja se tienen 19 animales entre gallinas y caballos. El número de patas entre las dos especies de animales es 52. ¿Cuántos animales hay de cada tipo?
En una granja se tienen 19 animales entre gallinas y caballos. El número de patas entre las dos especies de animales es 52. ¿Cuántos animales hay de cada tipo?
1 Si 'x' es el número de gallinas y 'y' el número de caballos, podemos plantear un sistema de ecuaciones:

2 El punto de incidencia entre
y
corresponde a la solución del problema, por lo que resolveremos el sistema por el método de reducción, multiplicamos a
por -2


3 Sumamos ambas ecuaciones y despejamos 'y'


4 Sustituimos y=7 en
y despejamos a 'x'


5 Las rectas
y
inciden en el punto
por lo que hay 12 gallinas y 7 caballos
Encuentra el valor de 'a' para que la recta
incida con el punto 
Encuentra el valor de 'a' para que la recta
incida con el punto 
1 Sustituimos el punto P en la recta r

2 Despejamos a 'a'



Encuentra el valor de 'a' para que la recta
incida con el punto 
Encuentra el valor de 'a' para que la recta
incida con el punto 
1 Sustituimos el punto P en la recta r


2 Como llegamos a una inconsistencia, la recta 'r' no incide con el origen de coordenadas
Encuentra el valor de 'a' para que la recta
incida con el punto 
Encuentra el valor de 'a' para que la recta
incida con el punto 
1 Sustituimos el punto P en la recta r y despejamos 'a'



Resumir con IA:









Apuntes es una plataforma dirigida al estudio y la práctica de las matemáticas a través de la teoría y ejercicios interactivos que ponemos a vuestra disposición. Esta información está disponible para todo aquel/aquella que quiera profundizar en el aprendizaje de esta ciencia. Será un placer ayudaros en caso de que tengáis dudas frente algún problema, sin embargo, no realizamos un ejercicio que nos presentéis de 0 sin que hayáis si quiera intentado resolverlo. Ánimo, todo esfuerzo tiene su recompensa.
Les felicito por su pedagogica web.
Podrian indicarme cual es la formula de las coordenadas del pie de una perpendicular por un punto (X1,Y1) a una recta Ax+By+c=0
Serian tan amables de enviarme dos formulas:
1) Formula de la pendiente de la bisectriz de 45º relacionada con las pendientes de los lados del angulo de 90º.
2) Formulas de las coordenadas del punto/pie de una perpendicular que pasa por el punto P(x0,y0) y una recta Ax+By+c=0.
Gracias de antemano.
M.Angel
En los ejercicios 7 y 8, trazar las rectas que pasan por el punto dado con la pendiente indicada. Dibujar en un mismo sistema de coordenadas.
Hola tu indicación es muy buena, vamos a ir mejorando para un mejor entendimiento.
Me puede ayudar con este problema
la pendiente de una recta que pasa por el punto A(3, 2) es igual a 3/4. situar dos puntos sobre esta recta que disten 5 unidades de A.
con su gráfica mas
Alguien me puede ayudar por favor necesito dar un examen para repasar y no me salen las respuestas
Hola con gusto te ayudamos, podrías mencionar específicamente con cual ejercicio podemos darte una mejor explicación.
Determinar las ecuaciones parametricas del plano x-2y+z-1=0
Hola, me sirvio mucho, con que informacion podria ponerlos como refernecia en mi proyecto?
Hola que bueno que la pagina te ayudo, podrías poner como pagina de internet «Materíal didactico-Superprof».