Hallar la ecuación de una recta que pasa por el punto
y se apoya en las rectas:

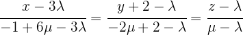
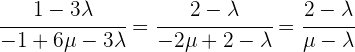
1 Obtenemos un punto genérico de la recta
igualando las expresiones con 

Entonces se obtiene 
2Obtenemos un punto genérico de la recta
igualando las expresiones con
.

Entonces se obtiene 
3Calculamos la ecuación de la recta que pasa por
y
.

4Como la recta pasa por el punto
, tendremos:

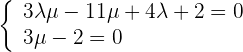
Igualando la primera expresión con la segunda y la segunda con la tercera se obtiene el sistema de ecuaciones

del cual obtenemos

5Sustituimos estos dos valores en la ecuación de la recta:

6Operamos y simplificamos para obtener la recta solicitada

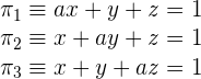
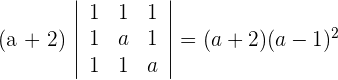
Estudiar para los diferentes valores de
, la posición relativa de los siguientes planos:

1La matriz de coeficientes y la matriz extendida son

2En el determinante de la matriz de los coeficientes sumamos a la primera fila las otras dos y posteriormente sacamos factor común.

Restamos a cada fila la primera:

3Si
y
, entonces
y se tiene que los tres planos se cortan en un punto.
4Si
, entonces las tres ecuaciones son idénticas y se tiene que los tres planos son coincidentes.
5Si
, entonces
y
por lo que no hay ningún par de planos paralelos, luego los tres planos se cortan dos a dos formando una superficie prismática.
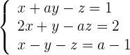
Estudiar las posiciones relativas del plano
y la recta
según los valores del parámetro
.
1Con el plano y la recta formamos el siguiente sistema

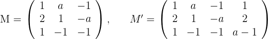
2La matriz de coeficientes y la matriz extendida son

3Calculamos el determinante de la matriz de los coeficientes

4Igualando el determinante a cero obtenemos

5Si
y
, entonces
y la recta corta al plano en un solo punto.
6Si
, entonces
y la recta está contenida en el plano.
7Si
, entonces
y
por lo que la recta es paralela al plano.
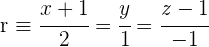
Hallar la ecuación del plano que pasa por el punto de intersección de la recta
con el plano
y es paralelo a las rectas:

1Las ecuaciones continuas de la recta
se pasan a implícitas, y éstas junto a la ecuación del plano forman un sistema

2La solución es el punto de intersección

3El plano viene determinado por el el punto de intersección y los vectores directores de las rectas paralelas al plano

4Calculamos el determinante

5La ecuación del plano se obtiene igualando el determinante a cero

Resumir con IA:

Apuntes es una plataforma dirigida al estudio y la práctica de las matemáticas a través de la teoría y ejercicios interactivos que ponemos a vuestra disposición. Esta información está disponible para todo aquel/aquella que quiera profundizar en el aprendizaje de esta ciencia. Será un placer ayudaros en caso de que tengáis dudas frente algún problema, sin embargo, no realizamos un ejercicio que nos presentéis de 0 sin que hayáis si quiera intentado resolverlo. Ánimo, todo esfuerzo tiene su recompensa.
Les felicito por su pedagogica web.
Podrian indicarme cual es la formula de las coordenadas del pie de una perpendicular por un punto (X1,Y1) a una recta Ax+By+c=0
Serian tan amables de enviarme dos formulas:
1) Formula de la pendiente de la bisectriz de 45º relacionada con las pendientes de los lados del angulo de 90º.
2) Formulas de las coordenadas del punto/pie de una perpendicular que pasa por el punto P(x0,y0) y una recta Ax+By+c=0.
Gracias de antemano.
M.Angel
En los ejercicios 7 y 8, trazar las rectas que pasan por el punto dado con la pendiente indicada. Dibujar en un mismo sistema de coordenadas.
Hola tu indicación es muy buena, vamos a ir mejorando para un mejor entendimiento.
Me puede ayudar con este problema
la pendiente de una recta que pasa por el punto A(3, 2) es igual a 3/4. situar dos puntos sobre esta recta que disten 5 unidades de A.
con su gráfica mas
Alguien me puede ayudar por favor necesito dar un examen para repasar y no me salen las respuestas
Hola con gusto te ayudamos, podrías mencionar específicamente con cual ejercicio podemos darte una mejor explicación.
Determinar las ecuaciones parametricas del plano x-2y+z-1=0
Hola, me sirvio mucho, con que informacion podria ponerlos como refernecia en mi proyecto?
Hola que bueno que la pagina te ayudo, podrías poner como pagina de internet «Materíal didactico-Superprof».