Capítulos
Distancia de un punto a una recta
La distancia de un punto a una recta es la longitud de un segmento que partiendo del punto del plano, sea perpendicular a la recta. Para que la longitud de ese segmento sea la mínima, el segmento y la recta deben de ser perpendiculares.
Sabiendo las coordenadas del punto
y la ecuación general de la recta digamos
, la distancia se obtiene por la fórmula:

Ejemplo
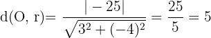
Hallar la distancia del punto
a la recta
.
Distancia al origen
La distancia al origen es considerando que nuestro punto P es el origen
, por tanto
Ejemplos
1 Hallar la distancia al origen de la recta
.
2 Una recta "s" es paralela a la que tiene por ecuación
, y dista 6 unidades del origen. ¿Cuál es su ecuación?
Tenemos que la recta "s" es paralela a "r" por tanto
También tenemos que dista 6 unidades del origen, por lo que
entonces
3 Una recta "s" es perpendicular a la que tiene por ecuación
y dista 4 unidades del origen. ¿Cuál es su ecuación?
Puesto que "s" es perpendicular a "r" se tiene que
y ya que dista 4 unidades del origen tendremos
entonces
Distancia entre rectas paralelas
Para hallar la distancia entre dos en rectas paralelas, se toma un punto cualquiera, P, de una de ellas y calcular su distancia a la otra recta.

entonces
Ejemplo
Hallar la distancia entre las rectas:
y
.
Tenemos que las rectas son paralelas por lo que ahora lo que hacemos es tomar un punto de la recta "r", considerando
obtenemos que
entonces el punto
. Y la distancia entre las rectas seria
Angulo entre dos rectas
Se llama ángulo entre dos rectas al menor de los ángulos que forman éstas. Se pueden obtener a partir de:

1 Sus vectores directores
2 Sus pendientes
Ejemplo
Hallar el ángulo que forman las rectas "r" y "s", si sus vectores directores son:
y
.
Resumir con IA:









Apuntes es una plataforma dirigida al estudio y la práctica de las matemáticas a través de la teoría y ejercicios interactivos que ponemos a vuestra disposición. Esta información está disponible para todo aquel/aquella que quiera profundizar en el aprendizaje de esta ciencia. Será un placer ayudaros en caso de que tengáis dudas frente algún problema, sin embargo, no realizamos un ejercicio que nos presentéis de 0 sin que hayáis si quiera intentado resolverlo. Ánimo, todo esfuerzo tiene su recompensa.
Les felicito por su pedagogica web.
Podrian indicarme cual es la formula de las coordenadas del pie de una perpendicular por un punto (X1,Y1) a una recta Ax+By+c=0
Serian tan amables de enviarme dos formulas:
1) Formula de la pendiente de la bisectriz de 45º relacionada con las pendientes de los lados del angulo de 90º.
2) Formulas de las coordenadas del punto/pie de una perpendicular que pasa por el punto P(x0,y0) y una recta Ax+By+c=0.
Gracias de antemano.
M.Angel
En los ejercicios 7 y 8, trazar las rectas que pasan por el punto dado con la pendiente indicada. Dibujar en un mismo sistema de coordenadas.
Hola tu indicación es muy buena, vamos a ir mejorando para un mejor entendimiento.
Me puede ayudar con este problema
la pendiente de una recta que pasa por el punto A(3, 2) es igual a 3/4. situar dos puntos sobre esta recta que disten 5 unidades de A.
con su gráfica mas
Alguien me puede ayudar por favor necesito dar un examen para repasar y no me salen las respuestas
Hola con gusto te ayudamos, podrías mencionar específicamente con cual ejercicio podemos darte una mejor explicación.
Determinar las ecuaciones parametricas del plano x-2y+z-1=0
Hola, me sirvio mucho, con que informacion podria ponerlos como refernecia en mi proyecto?
Hola que bueno que la pagina te ayudo, podrías poner como pagina de internet «Materíal didactico-Superprof».