Capítulos
Tres o más puntos están alineados si están en una misma recta, es decir, sus coordenadas son proporcionales, y por tanto el rango de los vectores determinados por ellos es 1.
A continuación veremos algunos ejemplos de ejercicios donde consideraremos puntos alineados.
Comprobar si los puntos están alineados.
Comprobar si los puntos
y
están alineados.
Para que los puntos estén alineados se requiere que el rango de los vectores
y
sea 1, es decir, los vectores deben ser proporcionales.


Por inspección de los vectores
y
podemos conjeturar que estos no parecen ser proporcionales. Esto se comprueba calculando el módulo del producto vectorial entre
y
y verificar que es distinto de cero. Esto es,
Calculamos los determinantes,
Dado que todos los determinantes resultaron distinto de cero, el vector resultante
es distinto de cero, por lo que se concluye que
Entonces
y los puntos no están alineados.
Hallar la ecuación de la recta
Hallar la ecuación de la recta que pasa por los puntos
y
. Estudiar si el punto
está alineado con
y
.
Hallaremos la ecuación continua de la recta que pasa por los puntos
y
utilizando el vector
y el punto
.
La ecuación en general de la recta continua es

donde
es su vector director y
un punto de la recta.
En este caso,
es el vector director y
el punto de la recta. Puesto que
se tiene que la ecuación de la recta es
Para que el punto
este alineado con
y
, debe pertenecer a la recta que pasa por
y
Sustituyendo
en la ecuación anterior obtenemos
por lo que
no satisface la ecuación de la recta y no está alineado con
y
.
Determinar valores de m
Determinar los valores de m para que los puntos
y
estén alineados y hallar las ecuaciones de la recta que los contiene.
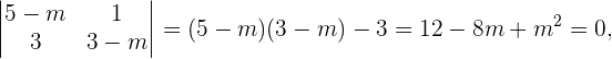
Para que los puntos estén alineados se requiere que el rango de los vectores
y
sea 1,


Es decir, necesitamos que el módulo del producto vectorial entre
y
sea cero, el cual se reduce a calcular los siguientes determinantes (ver ejemplo 1)
1 
2 
3 
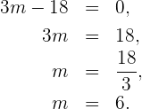
De la primera ecuación tenemos que

lo cual implica que
o
. De la segunda ecuación obtenemos directamente que
y de la tercera ecuación obtenemos que

Por lo tanto, para que los puntos estén alineados, se debe tener que
.
Ahora bien, considerando
y el punto
, tendremos que la ecuación de la recta que los contiene es
Si tienes dudas puedes consultar la teoría.









Apuntes es una plataforma dirigida al estudio y la práctica de las matemáticas a través de la teoría y ejercicios interactivos que ponemos a vuestra disposición. Esta información está disponible para todo aquel/aquella que quiera profundizar en el aprendizaje de esta ciencia. Será un placer ayudaros en caso de que tengáis dudas frente algún problema, sin embargo, no realizamos un ejercicio que nos presentéis de 0 sin que hayáis si quiera intentado resolverlo. Ánimo, todo esfuerzo tiene su recompensa.
Les felicito por su pedagogica web.
Podrian indicarme cual es la formula de las coordenadas del pie de una perpendicular por un punto (X1,Y1) a una recta Ax+By+c=0
Serian tan amables de enviarme dos formulas:
1) Formula de la pendiente de la bisectriz de 45º relacionada con las pendientes de los lados del angulo de 90º.
2) Formulas de las coordenadas del punto/pie de una perpendicular que pasa por el punto P(x0,y0) y una recta Ax+By+c=0.
Gracias de antemano.
M.Angel
En los ejercicios 7 y 8, trazar las rectas que pasan por el punto dado con la pendiente indicada. Dibujar en un mismo sistema de coordenadas.
Hola tu indicación es muy buena, vamos a ir mejorando para un mejor entendimiento.
Me puede ayudar con este problema
la pendiente de una recta que pasa por el punto A(3, 2) es igual a 3/4. situar dos puntos sobre esta recta que disten 5 unidades de A.
con su gráfica mas
Alguien me puede ayudar por favor necesito dar un examen para repasar y no me salen las respuestas
Hola con gusto te ayudamos, podrías mencionar específicamente con cual ejercicio podemos darte una mejor explicación.
Determinar las ecuaciones parametricas del plano x-2y+z-1=0
Hola, me sirvio mucho, con que informacion podria ponerlos como refernecia en mi proyecto?
Hola que bueno que la pagina te ayudo, podrías poner como pagina de internet «Materíal didactico-Superprof».